1/19
Looks like no tags are added yet.
Name | Mastery | Learn | Test | Matching | Spaced |
|---|
No study sessions yet.
What is the opposite of multiplying?
dividing
What do fractions secretly stand for?
division
any number divided by 1 is equal to what?
the number being divided

if a fraction is a number over 1, like the example shown, what is it equal to?
the number on top
What does “write fractions in simplest form” mean?
Make the fraction as small as possible.
When the problem says “find the product” do we divide or multiply?
multiply
When the problem says “find the quotient” do we divide or multiply?
divide
What happens when we multiply/divide a negative number by another negative number?
the answer is positive
What happens when we multiply/divide a negative number by a positive number?
the answer is negative.
What makes a fraction an improper fraction?
The top of the fraction is bigger than the bottom.
Can you turn proper fractions into mixed numbers?
No
When a question asks “evaluate the expression when…” and it gives us a problem with a bunch of letters, what do we do?
change the letters for the numbers given, and do the math!

Write the fraction as a mixed number.
2 3/5


evaluate the expression when x = 5, y = -3, and z = -2
-1

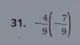
Find the product. Write in simplest form.
28/81


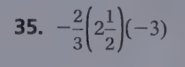
Find the product. Write in simplest form.
5 or 5/1


Find the product. Write in simplest form.
1/8


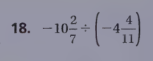
find the quotient. Write fractions in simplest form.
-2/3


Find the quotient. Write fractions in simplest form.
2/5

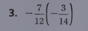
Find the quotient. Write fractions in simplest form.
33/14
