Math 9 Midterm 2 Graphs

0.0(0)
studied byStudied by 0 people
0.0(0)
full-widthCall Kai
learnLearn
examPractice Test
spaced repetitionSpaced Repetition
heart puzzleMatch
flashcardsFlashcards
GameKnowt Play
Card Sorting

1/5

encourage image

There's no tags or description

Looks like no tags are added yet.

Study Analytics
Name
Mastery
Learn
Test
Matching
Spaced

No study sessions yet.

6 Terms

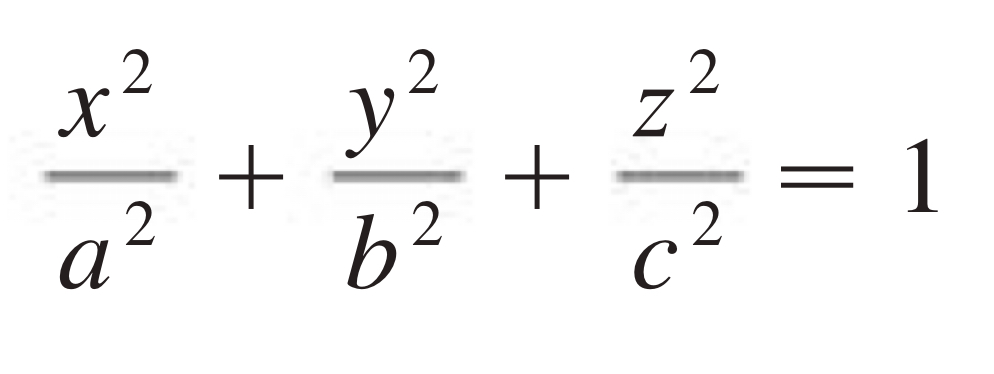
1
New cards
term image
knowt flashcard image
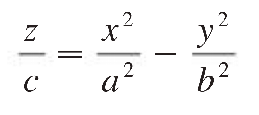
2
New cards
term image
knowt flashcard image
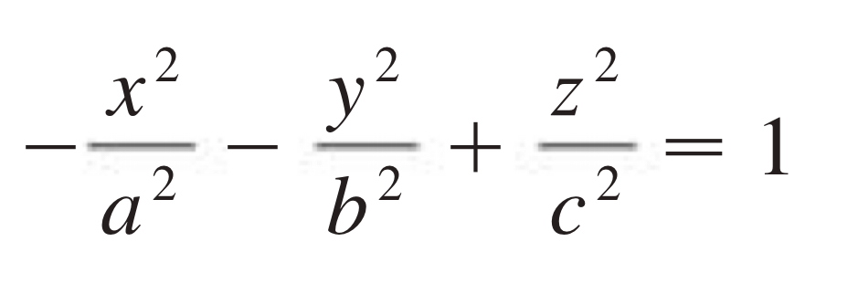
3
New cards
term image
knowt flashcard image
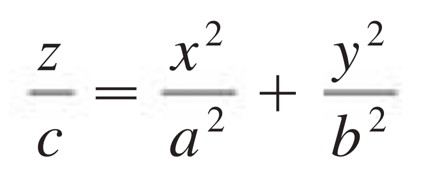
4
New cards
term image
knowt flashcard image
5
New cards
term image
knowt flashcard image
6
New cards
term image
knowt flashcard image