1/82
Looks like no tags are added yet.
Name | Mastery | Learn | Test | Matching | Spaced | Call with Kai |
|---|
No analytics yet
Send a link to your students to track their progress
d/dx (c)
0
d/dx (xⁿ)
nxⁿ⁻¹
d/dx (cxⁿ)
cnxⁿ⁻¹
d/dx (u(x)+v(x))

d/dx f(g(x)

d/dx (f(x)g(x))

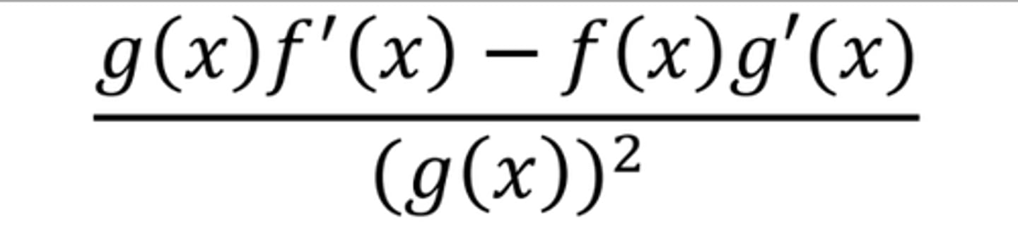
d/dx (f(x)/g(x))

d/dx sin(x)
cos(x)
d/dx cos(x)
-sin(x)
d/dx tan(x)
sec²(x)
d/dx sec(x)
sec(x)tan(x)
d/dx csc(x)
-csc(x)cot(x)
d/dx cot(x)
-csc²(x)
d/dx eⁿ
eⁿ
d/dx aⁿ
aⁿ ln(a)
d/dx ln(x)
1/x
d/dx logₙ(x)
1/(x)ln(n)
d/dx f⁻¹(x)

d/dx arcsin(x)

d/dx arccos(x)

d/dx arctan(x)

d/dx arccsc(x)

d/dx arcsec(x)

d/dx arccot(x)

Intermediate Value Theorem

A function f is continuous at x=a if the following conditions are satisfied:

Limit Definition of a Derivative

Alternate Form of the Derivative at x=c

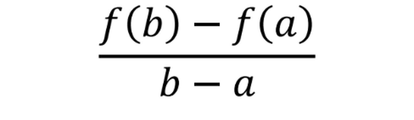
Average Rate of Change of f(x) on [a, b]

sin²(x)

cos²(x)

sin(2x)
2sin(x)cos(x)
cos(2x)

Pythagorean Identity
sin²(x) + cos²(x) = 1
Area of a Circle
A = πr²
Circumference of a Circle
C = 2πr
Volume of a Prism
V = Bh
(where B = area of the base)
Volume of a Right Circular Cone

Volume of a Sphere

Volume of a Right Circular Cylinder

Surface Area of a Cylinder

Volume of a Cube with side s

Area of a Non-Right Triangle: lengths a & b and angle C

Rolle's Theorem

Mean Value Theorem

Extreme Value Theorem

∫xⁿ dx

∫1/x dx
ln|x| + C
∫sin(x) dx
−cos(x) + C
∫cos(x) dx
sin(x) + C
∫eⁿ dx
eⁿ + C
∫aⁿ dx
aⁿ/ln(a) + C
∫tan(x) dx
ln|sec(x)|+C or -ln|cos(x)|+C
∫cot(x) dx
ln|sin(x)| + C
∫sec(x) dx
ln|sec(x) + tan(x)| + C
∫csc(x) dx
-ln|csc(x) + cot(x)| + C
∫sec²(x) dx
tan(x) + C
∫sec(x)tan(x) dx
sec(x) + C
∫csc²(x) dx
-cot(x) + C
∫csc(x)cot(x) dx
-csc(x) + C
∫tan²(x) dx
tan(x) - x + C
∫1/√(a²+x²) dx
arcsin(x/a) + C
∫1/(a²+x²) dx
(1/a)arctan(x/a) + C
∫1/x√(x²-a²) dx
(1/a)arcsec(x/a) + C
Area of a Trapezoid where b = base & h = height
A = (½)(b₁+b₂)h
Definition of a Definite Integral using Riemann Sums (Define ∆x & xκ)

Fundamental Theorem of Calculus using an Integral of a Derivative

Average Value Theorem

Area between two curves

Volume by disk method (rotated around x-axis)

Volume by disk method (rotated around y-axis)

Volume by washer method (rotated around x-axis)

Volume formula using areas with known cross-sections in terms of x

Area of a square with b as base

Area of a semicircle with b as base

Area of a rectangle with h = ½b

Area of Isosceles right triangle with base as leg

Area of Isosceles right triangle with base as hypotenuse

Area of equilateral triangle in terms of b

Relationship between x(t) or s(t), v(t) and a(t)

Total distance travelled from t = a to t = b

Displacement from t = a to t = b

Definition of f(x) using the fundamental theorem of calculus
