1/34
Looks like no tags are added yet.
Name | Mastery | Learn | Test | Matching | Spaced | Call with Kai |
|---|
No study sessions yet.
What is Gauss’s Law?
Gauss’s Law states that the total electric flux through a closed surface is proportional to the enclosed charge:

What are the two main criteria for choosing a Gaussian surface?
E⃗ should be parallel (or anti-parallel) to the area vector → simplifies the integral.
E should be constant on the surface → allows easy integration using surface area.
How is charge distributed in a solid insulating sphere?
Charge is uniformly distributed throughout the volume with a charge density ρ.

What is the symmetry of the electric field inside and outside a charged insulating sphere?
The field is spherically symmetric and points radially outward.
The magnitude of E depends only on the radial distance r.
What is the electric field at a point outside a charged spherical insulator?
For r > a, the sphere behaves like a point charge at the center

How does Gauss’s Law help determine the field outside the sphere?

How do you determine the enclosed charge for r < a?
The enclosed charge within a Gaussian sphere of radius r₂ is:

What is the expression for the electric field inside the insulating sphere?

How does the electric field vary inside and outside the sphere?
Inside (r < a): E∝r (increases linearly).
Outside (r > a): E∝1r2(like a point charge).

What is an electrical conductor?
A conductor is a material in which excess charges move freely under the influence of an electric field.
What is the value of the electric field inside a conductor in electrostatic equilibrium?

Why can there be no static electric field inside a conductor?
If E ≠ 0, free electrons would move, leading to continuous current flow and resistive heating
This would violate the Second Law of Thermodynamics.
Where do excess charges reside in a conductor?
All excess charges move to the surface of the conductor, ensuring E = 0 inside.
What are the key properties of a conductor in electrostatic equilibrium?
E = 0 inside the conductor.
Excess charge resides on the surface.
The electric field is perpendicular to the surface.
The conductor's surface is an equipotential surface.
What is the electric field inside a spherical conductor?
This is because free electrons rearrange themselves to cancel any internal field.

Where do the excess charges in a conductor accumulate?
All excess charges reside on the outer surface of the conductor.
What does Gauss’s Law say about the charge enclosed by a Gaussian surface inside a conductor?
Since E = 0, the total enclosed charge Qenc must also be 0.
This confirms that all excess charge is on the surface.
How is charge distributed on the surface of a spherical conductor?
Due to symmetry, the charge is uniformly distributed over the surface.
Does the result E=0 inside apply only to spherical conductors?
No
Gauss’s Law shows that any conductor in electrostatic equilibrium has E = 0 inside, regardless of its shape.

What is the electric field inside the hollow cavity of a conducting spherical shell?
This happens because any enclosed charge must be zero, and the shell redistributes charge to cancel any internal field.

Where do the excess charges go in a conducting spherical shell?
All excess charge resides on the outer surface of the shell.
What does Gauss’s Law tell us about the charge inside the shell?
A Gaussian surface inside the shell encloses no charge
Therefore the electric field inside must be zero.
What is an infinite thin insulating sheet of charge?
A non-conducting surface with a uniform surface charge density σ (C/m²), extending infinitely in all directions.
In which direction does the electric field point due to an infinite charged sheet?
By symmetry, E is perpendicular to the sheet and has the same magnitude at all points equidistant from the sheet.
What Gaussian surface is used to determine the field of an infinite sheet of charge?
A pillbox-shaped Gaussian surface with:
Cross-sectional area A
Height 2h, extending equally above and below the sheet
Why is there no flux through the sides of the pillbox Gaussian surface?
Because the electric field E is perpendicular to the sheet and parallel to the curved sides of the pillbox.
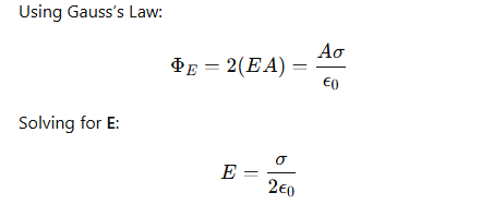
What is the formula for the electric field produced by an infinite sheet of charge?

How does the electric field of an infinite sheet of charge behave?
Independent of distance h from the sheet
Constant in magnitude for all points above/below the sheet
Points away from the sheet if σ > 0 and toward the sheet if σ < 0
What is a charged conducting sheet?
A thin, infinitely large conductor carrying a uniform surface charge density σ (C/m²).
How is charge distributed on a conducting sheet?
Since E = 0 inside the conductor, the charge distributes equally on both surfaces:

In which direction does the electric field point due to a charged conducting sheet?
By symmetry, E is perpendicular to the sheet and has the same magnitude at all points equidistant from the sheet.
What Gaussian surface is used to determine the field of a conducting sheet?
A pillbox-shaped Gaussian surface with:
Cross-sectional area A
Height h, with the base inside the conductor
Why does no flux pass through the part of the pillbox inside the conductor?
Because E = 0 inside a conductor, meaning no electric field lines pass through the base.
What is the formula for the electric field produced by a charged conducting sheet?

How does the field of a conducting sheet compare to that of an insulating sheet?
Same formula: E=σ/2ϵ0
Key difference: A conducting sheet distributes charge equally on both sides, while an insulating sheet can hold charge on only one side.