1/3
Looks like no tags are added yet.
Name | Mastery | Learn | Test | Matching | Spaced | Call with Kai |
|---|
No study sessions yet.
Confidence interval for Z

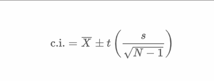
Confidence interval for T

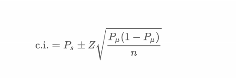
Confidence interval for proportions
If Pu is unknown, use Ps

When population deviation is unknown
Use T-distribution and degrees of freedom = n - 1 for establishing the critical region