lipids

0.0(0)
studied byStudied by 0 people
0.0(0)
full-widthCall with Kai
GameKnowt Play
New
learnLearn
examPractice Test
spaced repetitionSpaced Repetition
heart puzzleMatch
flashcardsFlashcards
Card Sorting

1/14

encourage image

There's no tags or description

Looks like no tags are added yet.

Study Analytics
Name
Mastery
Learn
Test
Matching
Spaced

No study sessions yet.

15 Terms

1
New cards

fatty acid tail

knowt flashcard image
2
New cards

Glycerol

head group of triglycerides

<p>head group of triglycerides</p>
3
New cards

saturated fat

A lipid made from fatty acids that have no double bonds between carbon atoms

<p>A lipid made from fatty acids that have no double bonds between carbon atoms</p>
4
New cards

unsaturated fat

A lipid made from fatty acids that have at least one double bond between carbon atoms.

<p>A lipid made from fatty acids that have at least one double bond between carbon atoms.</p>
5
New cards

polyunsaturated fats

more than one double bond

<p>more than one double bond</p>
6
New cards

cis double bond

hydrogens are on the same side, causes bend in fatty acid tail

<p>hydrogens are on the same side, causes bend in fatty acid tail</p>
7
New cards

saturated fat

Butter is solid at room temperature because it is a

<p>Butter is solid at room temperature because it is a</p>
8
New cards

unsaturated fat

Oil is liquid at room temperature because it is a ____________ with cis double bonds causing a bend

<p>Oil is liquid at room temperature because it is a <strong>____________</strong> with cis double bonds causing a bend</p>
9
New cards

Triglycerides

an energy-rich compound made up of a single molecule of glycerol and three molecules of fatty acid.

<p>an energy-rich compound made up of a single molecule of glycerol and three molecules of fatty acid.</p>
10
New cards

Glycerophospholipids

lipid with 2 fatty acid tails, head composed of glycerol, phosphate and polar molecule

<p>lipid with 2 fatty acid tails, head composed of glycerol, phosphate and polar molecule</p>
11
New cards

Lipid bylayer in cell membrane

glycerophospholipids make up the

<p>glycerophospholipids make up the</p>
12
New cards

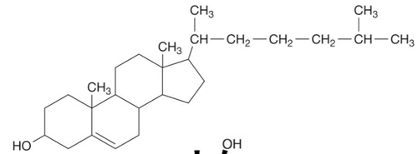
steroids

class of lipids with 4 rings of carbon atoms (picture is the general structure)

<p>class of lipids with 4 rings of carbon atoms (picture is the general structure)</p>
13
New cards

Cholesterol

A lipid that forms an essential component of animal cell membranes and acts as a precursor molecule for the synthesis of other biologically important steroids.

<p>A lipid that forms an essential component of animal cell membranes and acts as a precursor molecule for the synthesis of other biologically important steroids.</p>
14
New cards

Estradiol

Female sex hormone

<p>Female sex hormone</p>
15
New cards

Testosterone

Male sex hormone

<p>Male sex hormone</p>