1/5
Looks like no tags are added yet.
Name | Mastery | Learn | Test | Matching | Spaced | Call with Kai |
|---|
No study sessions yet.

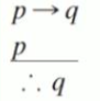
p —> q
p
∴ q
Direct reasoning / Modus Ponen

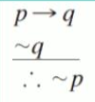
contrapositive reasoning / modus tollens

disjunctive reasoning / disjunctive syllogism

disjunctive reasoning / disjunctive syllogism

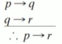
p —> q
q —> r
∴ p —> r
transitive reasoning / hypothetical syllogism
p —> q
q —> r
∴ ~r —> ~p
transitive reasoning / hypothetical syllogism