1/90
Looks like no tags are added yet.
Name | Mastery | Learn | Test | Matching | Spaced | Call with Kai |
|---|
No study sessions yet.
as more firms enter a market, the profit market for each individual firm will _______________
shrink
firms in perfectly competitive markets ___________ the price of the product
cannot control
firms in perfectly competitive markets ______________ to earn an economic profit in the long run
are unable
three charesteristics of a market
-number of firms in the industry
-the similarity of the good and services produced throughout the industry
-the ease with which new firms can enter the industry
monopolistic competition
a large number of firms selling products that are differentiated
oligopoly
very few firms selling very similar products
monoply
one firm that controls an entire market
perfectly competitive market
a large number of firms selling almost identical products with no barriers to competition
if a firm in a perfectly competitive market tries to raise the price of a product__________________
it will lose sales because consumers will buy from other firms for a lower price
price taker
a buyer or seller who is unable to effect the market price of a product
most individual firms in a perfectly competitive market don't have power over price in a market because _____________
the market supply curve will not shift enough to change the overall market price by even 1 cent
an individual firm in a perfectly competitive market on a supply-demand curve is represented by
a horizontal line
an entire market for a product in a perfectly competitive market on a supply-demand curve is represented by
a downward sloping demand curve
profit
Total revenue- total cost
for any level of output, a firm's average revenue is _________
equal to the market price
marginal revenue formula
change in total revenue / change in quantity
in a perfectly competitive market, a firms price is equal to ________________
average revenue and marginal revenue
marginal cost
the increase in total cost as result of producing another unit of output
profit maximizing level of output
level of output where marginal revenue equals marginal cost
the marginal revenue curve for a perfectly competitive firm is the same as its _______________
demand curve
optimal decisions are made ____________
at the margin
the profit maximizing level of output is
where the difference between total revenue and total cost is greatest OR where marginal revenue equals marginal cost
for a firm in a perfectly competitive market ______________
price is equal to marginal revenue
Profit formula
(Price - average total cost) X Q
on a supply-demand curve, a firm is making economic profit if _______________
average total revenue is greater than average total cost
to maximize economic profit, a firm should keep producing outputs until ________________
marginal cost is greater then or equal to marginal revenue
on a supply demand curve, a firm breaks even when __________________
price is equal to average total cost
on a supply demand curve, a firm experiences an economic loss when, _______________
price is below average total cost
P > ATC
firm is making profit
P = ATC
firm is breaking even
P < ATC
firm is producing at a loss
when a firm is experiencing economic loss, maximizing profits means
minimizing losses
a firm facing short term losses faces what two options
-continue to operate at a loss
-stop production by shutting down temporarily
if a firm decides to temporarily stop production, it will face losses equal to it's ________________
fixed costs (mortgage, employee wages, utilities,)
a firm can reduce losses by continuing to operate if ____________
total revenue is greater than variable costs
sunk cost
a cost that has already been paid and cannot be recovered
the decision to continue operations or shut down is determined by _________________
whether total revenue is greater or less than variable costs
as long as a firms revenue is greater than its variable costs_________________
it should continue to operate to minimize losses
when a firm in a perfectly competitive market and experiencing losses, one option that is NOT availible is
raising prices
a perfectly competitive firm's marginal cost curve is equal to ________________
its supply curve
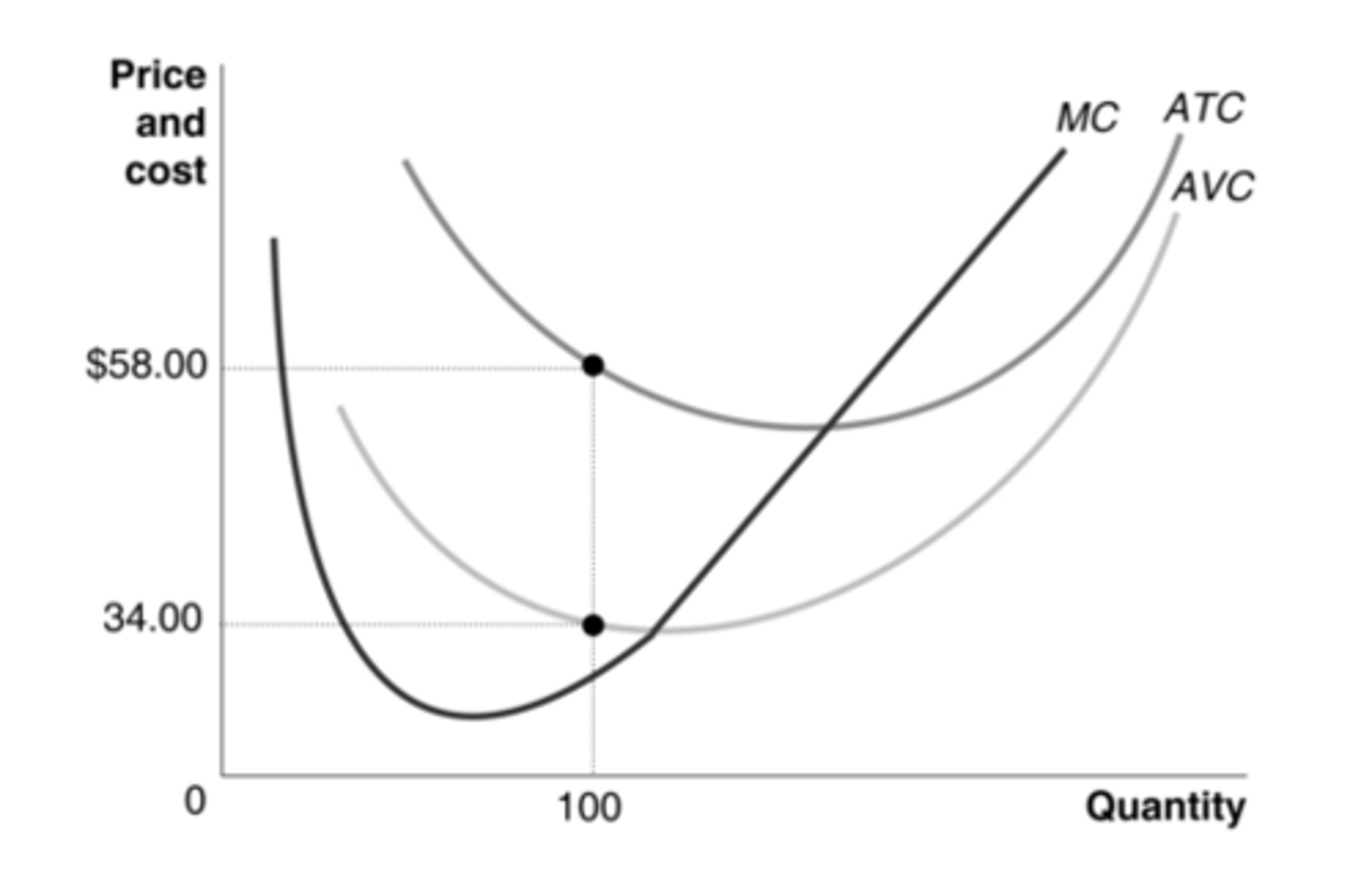
shutdown point
the minimum point on a firm's average variable cost curve. if the price drops to or below this point, the firm should temporarily stop production
the market demand curve is determined by __________
adding up the quantity demanded by each consumer in the market at each price
the market supply curve is determined by _____________
adding up the quantity supplied by each supplier in the market at each price
market supply curve can be calculated by
multiplying the amount of suppliers in the market by the amount produced per each supplier
economic profit
a firms revenues minus all of its explicit and implicit costs
accunting costs
only includes explicit costs
whens firms in a market experience economic profit in the short run,
more firms will enter the market, increasing market supply and drive profits to zero in the long run
what type of profit is the better indicator of a firms economic health?
economic profit
economic loss
when a firm experiences total revenue less than its total cost, including all implicit costs
as long as price is above average variable costs _____________
a firm will continue to stay in business in the short run
as firms enter a market, the market price ______________
drops
as firms exit a market, the market price _______________
rises
long run competitive equilibrium
the situation in which entry and exit of firms has caused the typical firm in that industry to break even
long run average cost curve
shows the lowest cost a firm is able to produce a given quantity of output in the long run
long run competitive equilibrium point
the market price that will always eventually be restored as firms enter and exit a market
in the long run, a perfectly competitive market will supply whatever amount of a good consumers demand at a price ________________________
determined by the minimum point om the typical firms average total cost curve
industries with upward sloping long run supply curves are called
increasing cost industries
industries with downward sloping long run supply curves are called
decreasing cost industries
decreasing cost industires
cost of producing a product decreases as the industry expands
increasing cost industries
typically in areas where the supply of input is limited (natural resources, land, etc)
the cost of producing a product increases as the industry expands
productive effiency
the situation where a good or service is produced at the lowest possible cost
in the long run, only the _____________ benefit from cost reductions
consumers
allocative efficiency
every good or service is produced up to the point where the last unit provides a marginal benefit to the consumer equal to the marginal cost to produce it
If the average total cost curve is above the demand curve, then this firm is
having economic losses
the firm will decrease its output and suffer losses
As the market demand shifts to the left, how will the firm's level of output change?

If the average total cost curve is above the demand curve, then this firm is:
having economic losses
demand curve 2
According to the graph, which demand curve is associated with the shutdown point for this perfectly competitive firm?

the graph on the left
Which graph best depicts an industry in which the firm's average costs decrease as the industry expands production?

point d
According to the graph the shut-down point corresponds to:

point D is the short-run equilibrium and point C is the new long run equilibrium
In this graph, the market is initially in long-run equilibrium at point A. If this is a constant-cost industry, after the decrease in demand, which point is likely to be a short-run equilibrium and which point is likely to be the next long-run equilibrium?

profit in the short run
The perfectly competitive firm represented in the graph on the right is experiencing a __________.

Q3
In reference to the graph, at what level of output does this perfectly competitive firm maximize profit?

8 shirts per minute
According to the graph, which level of output maximizes profit?

In perfect competition, the marginal revenue is the same as:
price
the firm earns 0 economic profit
According to the graph, if a perfectly competitive firm is producing at point A, which of the following is true?

8 units of output
According to the data in the table, what level of output maximizes profit?

Which of the following is a characteristic of a perfectly competitive market?
there is a large number of buyers and sellers
A buyer or seller that is unable to affect the market price is called a __________.
price taker
Long-run equilibrium in perfect competition results in:
both allocative effiency and productive effiency
$250
At which price in this graph is the perfectly competitive firm earning negative economic profit?

What is the term given to a cost that has already been paid and cannot be recovered?
sunk costs
no other firms will enter this market
According to the graphs, which of the following is likely to happen in this market in the long run?

negative economic profit
What does the shaded area in the graph represent for a perfectly competitive firm that produces at output level Q?

four units of output, although it would suffer a loss from doing so
According to the data in the table, when the price is $4, the firm would produce:

$2,400
According to the graph, what is the value of total fixed cost for this perfectly competitive firm?

A firm in perfect competition earns profit if:
price is greater than average total cost
In the short run, the firm should:
operate if price > average variable cost
In perfect competition, when a firm is making positive economic profit in the short run, then new firms enter the market causing the market supply curve to __________ and the market price to __________.
shift rightward, decrease
firms should always continue to operate ______________________
price is above variable cost
`
profit maximization can be achieved when
marginal revenue = marginal cost