BBMB 2210 Exam 2

0.0(0)
studied byStudied by 0 people
0.0(0)
full-widthCall Kai
learnLearn
examPractice Test
spaced repetitionSpaced Repetition
heart puzzleMatch
flashcardsFlashcards
GameKnowt Play
Card Sorting

1/24

encourage image

There's no tags or description

Looks like no tags are added yet.

Study Analytics
Name
Mastery
Learn
Test
Matching
Spaced

No study sessions yet.

25 Terms

1
New cards

What is the name of the following compound?

cyclopentane

<p>cyclopentane</p>
2
New cards

In the combustion reaction of a compound like octane, which of the following

compounds are products?

I) Carbon dioxide

II) Water

Both I and II

3
New cards

The reason that best explains why this compound is more acidic than acetic acid is which of the

following? Note - although we have not talked about compounds containing fluorine atoms in

class, recall that fluorine is even more electronegative than oxygen.

Inductive effects

<p>Inductive effects</p>
4
New cards

The following is a naturally occurring compound that can be isolated from a certain

species of fungus:

How many hydrogens does this compound have? (Drawing the structure on a piece of paper

could be helpful for counting the hydrogens.)

24

<p>24</p>
5
New cards

For the compound shown in the previous question, which of the following

functional groups is not present:

Ester is not present

<p>Ester is not present</p>
6
New cards

Continued from the previous question. Is the molecule conjugated?

Molecule is not conjugated

<p>Molecule is not conjugated</p>
7
New cards

Continued from the previous question. The molecule has a total of five chiral

centers. How many total stereoisomers of the compound are there?

32

8
New cards

Suppose one of the functional groups in the protein made a hydrogen bond to the oxygen of

the portion of the molecule shown above. Which of the following statements is true? The

oxygen in the three-membered ring can serve as a…

I) hydrogen bond acceptor

II) hydrogen bond donor

Only I is true

9
New cards

Continued from the previous question. Let’s consider the protein functional group

that forms a hydrogen bond to the oxygen in the compound’s three-membered ring shown in

the previous question. In the protein, which of the following functional groups could form that

hydrogen bond?

Amide group

10
New cards

The three-membered ring with an oxygen shown two questions ago is very

reactive. Which of the following is a likely reason for the instability of the ring structure?

Bond strain

11
New cards

In the mechanism shown on the left-hand side, the curved arrow between the nitrogen and the

carbon indicates where the _____ from the _____ end up.

electrons, nitrogen

<p>electrons, nitrogen</p>
12
New cards

Continued from the previous question. In the mechanism shown in the previous

question, the straight arrow between the structures on the left and the structures on the right

indicate that:

The reaction is effectively irreversible

The reaction occurs rapidly

The structures on the left and right are in equilibrium

The structures on the left and right are resonance structures

The reaction is effectively irreversible

13
New cards

Continued from the previous question. The reaction from two questions earlier

would be slow because the covalently-linked product shown is high in energy. Analogous to

how alcohol addition to aldehydes and ketones can be sped up, formation of the covalentlylinked

product can be sped up by using an alternative mechanism that involves:

Carboxylic acid interconversion reactions

Combustion reactions

Electron transfer reactions

Proton transfer reactions

Proton transfer reactions

14
New cards

In a population of ethane molecules, ethane can adopt a staggered or an eclipsed conformation (amongst others). The relative number of ethane molecules in the eclipsed versus staggered conformation is dictated by which of the following:

I) The difference in energy between the staggered and eclipsed conformation

II) The temperature the ethane molecules are at

Both I and II

15
New cards

The functional group that includes the sulfur atom is an example of a:

An alcohol

An ether

A thioether

A thiol

A thiol

16
New cards

The compound has an orange appearance.

The reason the molecule is colored is that the _____ conjugation in the molecule allows it to

absorb light in the visible spectrum. The reason it appears orange, specifically, is that it _____

orange light.

absence of, absorbs

absence of, does not absorb

extensive, absorbs

extensive, does not absorb

extensive, does not absorb

17
New cards

In this isomerization reaction, there is a rotation around the double bond as shown. Light

provides energy for this process because in going from the starting material to the product,

there is an intermediate (not show) that is _____ in energy than the starting material. The

energy of rotating around the carbon-carbon double bond is _____ that for rotation around a

carbon-carbon bond in a compound like butane.

lower, lesser than

lower, greater than

higher, lesser than

higher, greater than

higher, greater than

18
New cards

If this compound is deprotonated, it would have a _____ charge, and in this deprotonated form

we would expect it dissolves in a non-polar solution _____ than in its protonated form.

positive, less

positive, more

negative, less

negative, more

negative, less

19
New cards

Continued from the previous question. Inside a cell buffered at pH 7, we would

expect the compound shown in previous question to be predominantly in the form of the

_____.

Acid anhydride

Carboxylate

Carboxylic acid

Ketone

Carboxylate

20
New cards

The compound on the left accepts two electrons to become the compound on the right. This is

an example of _____ reaction, and in this reaction the compound on the left is _____ to

become the compound on the right.

an electron transfer, oxidized

an electron transfer, reduced

a proton transfer, oxidized

a proton transfer, reduced

electron transfer, reduced

21
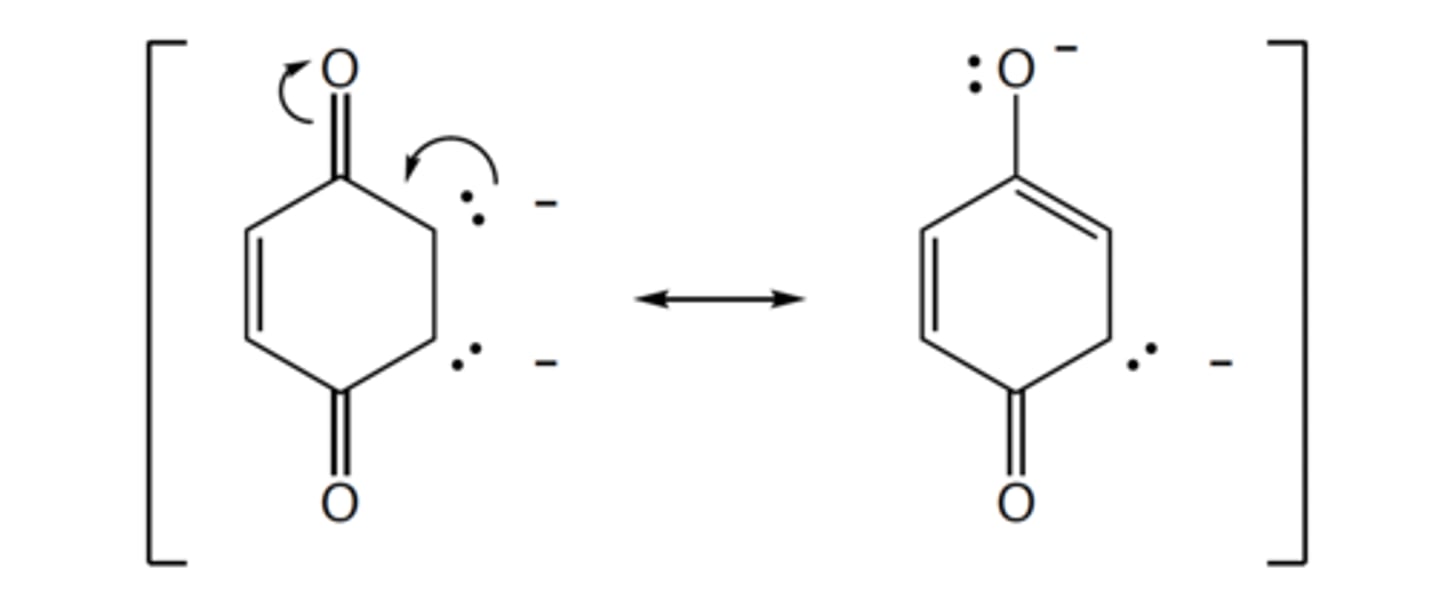
New cards

Of the two resonance structures, we would expect the one on the _____ to contribute more,

because _____ is more electronegative.

right, oxygen

<p>right, oxygen</p>
22
New cards

Formally this makes the molecule on the left _____. In relation to the resonance structures

shown in the previous question, the molecule on the right is _____ resonance structure.

an acid, an additional

an acid, not an additional

a base, an additional

a base, not an additional

a base, not an additional

23
New cards

As an example of a hydrolysis reaction, when an acid anhydride compound

encounters ______ the acid anhydride _____

a water molecule, joins with another acid anhydride

a water molecule, splits into two compounds

an alcohol molecule, joins with another acid anhydride

an alcohol molecule, splits into two compounds

a water molecule, splits into two compounds

24
New cards

Based on their relative stabilities, which of these statements about interconvertion

of an ester to another carboxylic acid derivative is true?

I) Adding an amine to the ester will lead to significant production of an amide.

II) Adding a carboxylate to the ester will lead to significant production of an acid anhydride.

I only

25
New cards

The following compound is an example of what?

A phosphate ester

<p>A phosphate ester</p>