1/24
Föreläsning 2
Name | Mastery | Learn | Test | Matching | Spaced |
|---|
No study sessions yet.
What is the terminology of gears?
Gear is a machine element that meshes with other gear to transmit power from one shaft to another.
Gears are used to transfer motion and torque between machine element.
Depending on the construction, gears can change the direction of movement or increas the output speed or torque.
What is pitch circle (dp) and what is the formula of it?
An imaginary circular which by pure rolling action will give the same rotation as an actual gear.
Formula:
dp = m * N
m = Modul - Storlek på en tand [mm].
N = Antal tänder.
dp = Pitch circle diameter [mm].
What is addendum (a) and what is the formula of it?
Addendum (a) = Distance between the top of the tooth in the radial direction.
Formula:
a = m
a = Addendum [mm].
m = Modul [mm].
What is dedendum (b) and what is the formula of it?
Dedendum (b) = The radial distance between the oitch circle in the bottom of the tooth.
Formula:
b = 1.25a
b = Dedendum [mm].
a = Addendum [mm].
What is addendum circle (da) and what is the formula of it?
Addendum circle (da) = The circle is drawn through the top pf the teeth.
Formula:
da = dp + 2a
da = Addendum circle [mm].
dp = Pitch circle diameter [mm].
a = Addendum [mm].
What is dedundum circle or root circle (dr) and what is the formula of it?
Dedundum circle or Root circle (dr) = The circle drawn trhough the bottom of the teeth.
Formula:
dr = dp - 2b
dr = Dedundum circle [mm].
dp = Pitch circle diameter [mm].
b = Dedundum [mm].
What is clearance (c) and what is the formula of it?
Clearance (c) = When 2 gears are in meshing condition, the radial distance form the top tooth of one gear to the bottom of the tooth of the other gear.
Formula:
c = b - a
c = Clearance [mm].
b = Denendum [mm].
a = addendum [mm].
What it circular pitch (P) and what is the formula of it?
Circular pitch (P) = The distance between a point on a tooth to the same point on an djacent tooth.
Formula:
P = Pi * m
P = Circular pitch [mm].
m = Modul [mm].
What is total depth and what is the formula of it?
What is pitch point?
What is pitch surface?
What is working depth?
What is total depth?
What is backlash?
What is:
Top land
Width of the tooth
Tooth thickness
What is tooth spece?
Vad menas med växelförhållande mellan 2 kugghjul och hur påverkar det varvtal och moment?
Växelförhållandet beskriver hur varvtalet förändras mellan två kugghjul och beror på deras tandantal. Ett större hjul roterar långsammare men ger högre moment, medan ett mindre hjul roterar snabbare med lägre moment. Effekten är i idealfallet konstant.
i = Växelförhållandet = Visar hur mycket hastigheten ändras mellan pinion och gear [enhetslös].
N = Antal tänder på respektive kugghjul.
n = Rotationshastigheten [rpm] eller [r/s = varv / sekunder].
Om NGear > NPinion = Gear har flera tänder → snurrar långsammare, men med större momentkraft (reducering).
Om NGear < NPinion = Gear har färre tänder → snurrar snabbare men mindre momentkraft (hastighetsökning).
Vad menas med växelförhållande i en multi-stage gear train (3 kugghjul)?
En vanlig 3-hjuls kuggväxel består av:
Hjul 1 - Drivande (driver - ingång) → Driver gear 2.
Hjul special - Mellanliggande (idler - mellanliggande) → Ett mellan liggande kuggjul. Den ändrar bara riktningen på rotationen, men påverkar inte växelförhållandet.
Hjul 2 - Driver (driven - utgång) → Driver gear 3.
Vad menas med växelförhållande i en mulit-stage gear (4 gears)?
Här gäller det att:
Gear 1 driver gear 2.
Gear 2 och gear 3 sitter på samma axel så n2 = n3.
Vad är en planetväxel och vilken formel har den?
Planetväxel = Ett växelsystem där kugghjulen rör sig runt varandra som en solplanet.
Den består av tre huvuddelar:
Solhjul (S) = Sitter i mitten.
Planethjul (P) = Roterar runt solhjulet.
Ringhjul (R) = Kugghjul med invändiga tänder.
Carrier (C) = Håller som planetväxlarna sitter fast i.
Minst en del är fixerad, en ingång, en är utgång.
Formeln:
(Zr + Zs) nc = Zr nr + Zs ns
Zs = Antal tänder på solhjul.
Zr = Antal tänder på ringhjul.
Zp = Antal tänder på planethjul.
ns = Varvtal solhjul.
nr = Varvtal ringhjul.
nc = Varvtal carrier
Formeln gäller alltid, oavsett vilken hjul som är låst.
Sätt varvtal = 0 för det hjul som är låst.
Lös ut det varvtal du söker.

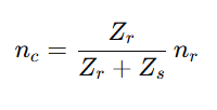
Vilka 3 olika fall finns det när det gäller planetväxel?
Fall A - Ringhjulet låst.
Vanligaste fallen och detta är när:
nr = 0
Solhjul = ingång.
Carrier = utgång.
Formeln:
Se bilden.
Formeln ger oss att:
Reducerande växel.
Varvtal minskar → moment ökar.

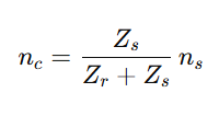
Vilka 3 olika fall finns det när det gäller planetväxel?
Fall B - Solhjulet låst.
ns = 0
Ringhjul = Ingång.
Carrier = Utgång.
Formlen:
Se bilden.

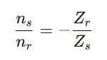
Vilka 3 olika fall finns det när det gäller planetväxel?
Fall C - Carrier låst (star gear).
Denna nämns ofta men används mer sällan.
nc = 0
Formeln:
Se bilden.
Minustecknet = Motsatt rotationsriktning.

Vilken formel ska man använda för att kontrollera geometrin i planetväxeln?
Formeln används när man vill kontrollera något i en kugghjul.
Används när man ska bygga en planetväxel.
Ett exempelfråga kan vara:
Bestäm ringhjulets tandantal.
Hur många tänder måste planethjulet ha?
Då används denna formeln.
Formeln:
Se bilden.


Exempel fråga:
En planetväxel för att driva en lintrumma till en lyftanordning
ses i figuren (en schematisk bild i genomskärning). Ingående
axel som driver solhjulet drivs från en växelmotor som går med
varvtalet 100 rpm och som ger en utgående effekt om 11 kw.
Ringhjulet är fäst i trumman. Planetväxelns planethjulshållare är
stillastående. Solhjulets tandantal är 23 och ringhjulets 83.
Förluster i planetväxeln kan försummas.
a) Vilket varvtal får lintrumman?
b) Vilken delningsdiameter har planethjulen om modulen är 3 mm?