1/23
Looks like no tags are added yet.
Name | Mastery | Learn | Test | Matching | Spaced |
|---|
No study sessions yet.

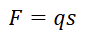
Average Normal Stress

Average Shear Stress

Bearing Stress

Elastic Modulus and Shear Modulus

Normal Strain

Shear Strain

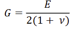
Relationship between Moduli and Poisson's Ratio

Section Modulus

Parallel Axis Theorem

Axial Deformation

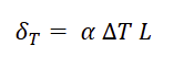
Thermal Deformation

Torsional Shear Stress

Angle of Twist

Relationship between Shear and Distributed Load

Relationship between Moment and Shear

Flexure Formula (Bending Stress)

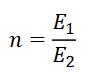
Modular Ratio

Curvature Equation

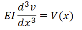
Elastic Curve (3th Order)

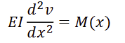
Elastic Curve (2nd Order)

Transverse Shear Stress Formula

Shear Flow

First Moment of Area

Nail spacing