Chemistry - Chapter 15 - Carboxylic Acids, Carboxylic Salts, and Esters

0.0(0)
studied byStudied by 1 person
0.0(0)
full-widthCall Kai
learnLearn
examPractice Test
spaced repetitionSpaced Repetition
heart puzzleMatch
flashcardsFlashcards
GameKnowt Play
Card Sorting

1/29

encourage image

There's no tags or description

Looks like no tags are added yet.

Study Analytics
Name
Mastery
Learn
Test
Matching
Spaced

No study sessions yet.

30 Terms

1
New cards

OBJ: Course Objectives for Chapter 15:

knowt flashcard image
2
New cards

INFO: Carboxylic Acids Rundown

<p></p>
3
New cards

INFO: Ester Rundown

knowt flashcard image
4
New cards

INFO: Acidic and Basic Hydrolysis Rundown

Basic hydroylsis is known as Saponification
Acidic Hydrolysis = “undoing” esterification

knowt flashcard image
5
New cards

0: What is an ester?

Esters are organic compounds characterized by a carboxyl group in which the acidic hydrogen atom is replaced by an alkyl or aryl group.

Acid + Alcohol = ester + water

<p><span>Esters are organic compounds characterized by a carboxyl group in which the acidic hydrogen atom is replaced by an alkyl or aryl group.</span></p><p></p><p>Acid + Alcohol = ester + water</p>
6
New cards

Which of the following Carboxylic acids is most soluble in water?

A. Hexanoic acid
B. Propanoic acid
C. Octanoic acid
D. Decanoic acid

B. Propanoic acid
Solubility is the INVERSE of polarity in carboxylic acids

7
New cards

0: Identify the functional group designated by RCOOR’

Ester

Need to know:
ROH = Alcohol

RCOOH = carboxylic acid

RCOOR’ = ester

for carboxylic acid, ester

<p>Ester</p><p></p><p>Need to know:<br>ROH = Alcohol </p><p>RCOOH = carboxylic acid</p><p>RCOOR’ = ester<br></p><p>for carboxylic acid, ester</p>
8
New cards
<p><span>0: Indicate which of the following structures contain a carboxyl group.</span></p>

0: Indicate which of the following structures contain a carboxyl group.

Structures with a -COOH group, characterized by a carbon atom double-bonded to an oxygen atom and single-bonded to a hydroxyl group. Needs to have OH

<p>Structures with a -COOH group, characterized by a carbon atom double-bonded to an oxygen atom and single-bonded to a hydroxyl group. Needs to have OH</p>
9
New cards

0: What structural features are characteristic of fatty acids?

Carboxylic acids with long hydrocarbon chains, generally 12 to 20 carbon atoms, are called fatty acids because they were first isolated from natural fats.


Long hydrocarbon chain

Carboxylic acid functional group

10
New cards

0: What is the most important chemical property of carboxylic acids?

The most important chemical property of carboxylic acids is the acidic behavior implied by their name.


11
New cards

1: What are some common names for Carboxylic Acids given their IUPAC names?

IUPAC Names:

Methanoic acid

Ethanoic acid

Propanoic acid

Butanoic acid

IUPAC Name

Common Name

Structure

methanoic acid

formic acid

H–COOH

ethanoic acid

acetic acid

CH₃–COOH

propanoic acid

propionic acid

CH₃–CH₂–COOH

butanoic acid

butyric acid

CH₃–CH₂–CH₂–COOH

12
New cards
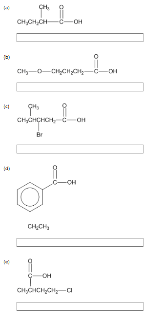
<p>1: Write the correct IUPAC name for each of the following.</p><p><br></p>

1: Write the correct IUPAC name for each of the following.


To name a carboxylic acid using the IUPAC system, the longest carbon chain including the carboxyl group is found and numbered. The numbering begins with the carboxyl carbon, so in monocarboxylic acids it is always located at the beginning of the chain, and no number is needed to locate it. The final -e of the parent hydrocarbon is dropped, and the ending -oic is added, followed by the word acid.


a) IUPAC name is 2-methylbutanoic acid.

b) IUPAC name is 4-methoxybutanoic acid. (methoxy because of the oxygen before the methyl)

c) IUPAC name is 3-bromo-4-methylpentanoic acid.

d) IUPAC name is 3-ethylbenzoic acid.

e) IUPAC name is 4-chloro-2-methylbutanoic acid.

13
New cards

1: Draw a structural formula for each of the following chemical names

a) propanoic acid

b) 4-fluoro-3-methylpentanoic acid

c) o-trichloromethylbenzoic acid

Remember 

In relation to Benzoic rings placement:

O: 1,2 positions (oh, mah, ha (p)) 

m- 1,3 positions

p: 1,4 positions

<p>Remember&nbsp;</p><p>In relation to Benzoic rings placement:</p><p>O: 1,2 positions (oh, mah, ha (p))&nbsp;</p><p>m- 1,3 positions</p><p>p: 1,4 positions</p>
14
New cards
  1. How does Hydrogen bonding affect the physical properties of carboxylic acids?

Carboxylic acids can form two hydrogen bonds at once because they contain:

  • a carbonyl oxygen (H-bond acceptor)

  • a hydroxyl hydrogen (H-bond donor)

This causes:

High boiling points
High water solubility (small acids)
Strong smells (vinegar-like)

Compare:
• Carboxylic acids boil higher than alcohols
• Alcohols boil higher than ketones/aldehydes
• Ketones boil higher than alkanes

15
New cards
<p>2: Rank the following compounds from the one containing the greatest polarity to the one with the least polarity</p><p></p>

2: Rank the following compounds from the one containing the greatest polarity to the one with the least polarity

For compounds with different functional groups, but similar molecular weights, the polarity of the functional group will determine the polarity of the compound. Compounds that are capable of hydrogen bonding, such as carboxylic acids and alcohols, are more polar than compounds that cannot form hydrogen bonds. Carboxylic acids are more polar than alcohols for compounds with one functional group. Alkanes are the least polar compounds.


Also, look at number of oxygens that can hydrogen bond as that determines polarity. Examples of ranking include: 1) Carboxylic acids, 2) Alcohols, 3) Ketones/Aldehydes, 4) Alkanes.

<p>For compounds with different functional groups, but similar molecular weights, the polarity of the functional group will determine the polarity of the compound. Compounds that are capable of hydrogen bonding, such as carboxylic acids and alcohols, are more polar than compounds that cannot form hydrogen bonds. Carboxylic acids are more polar than alcohols for compounds with one functional group. Alkanes are the least polar compounds.</p><p><br>Also, look at number of oxygens that can hydrogen bond as that determines polarity. Examples of ranking include: 1) Carboxylic acids, 2) Alcohols, 3) Ketones/Aldehydes, 4) Alkanes. </p>
16
New cards

2: The following compounds all have approximately the same molecular weight: hexanoic acid, hexanal, and hexanol.


Arrange them in order of increasing boiling point.

Molecules of aldehyde (hexanal) cannot form hydrogen bonds with each other because there are no hydrogen atoms bonded to oxygen atoms.


Hexanal has a significantly lower boiling point than the corresponding alcohol or carboxylic acid.


Carboxylic acids can form hydrogen bonded "dimers," and therefore have especially strong intermolecular interactions.


The order of boiling points is:: hexanal < hexanol < hexanoic acid.

17
New cards

3: What are Key Reactions of Carboxylic Acids?

Acid-Base Reaction: Carboxylic acids can react with bases to form salts and water.

CH3COOH + NaOH → CH3COO– Na+ + H2O


Esterification: Carboxylic acids react with alcohols to form esters and water.

CH3COOH + CH3OH → CH3COOCH3 + H2O

Reduction: Carboxylic acids can be reduced to primary alcohols using reducing agents like lithium aluminum hydride or sodium borohydride.

18
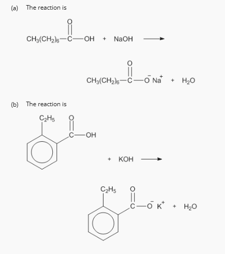
New cards
<p>3: Complete each of the following reactions.</p>

3: Complete each of the following reactions.

knowt flashcard image
19
New cards

4: Given Carboxylic acid salts

assign common and/or IUPAC names

IUPAC Parent Acids:

Methanoic acid

Ethanoic acid

Propanoic acid

Butanoic acid

Pentaonic acid

Basically, salt adds “ate over ic” to the acids for IUPAC

Parent Acid (IUPAC) 

Parent Acid (Common)

Salt (IUPAC)

Salt (Common)

Methanoic acid

Formic acid

Methanoate

Formate

Ethanoic acid

Acetic acid

Ethanoate

Acetate

Propanoic acid

Propionic acid

Propanoate

Propionate

Butanoic acid

Butyric acid

Butanoate

Butyrate

Pentanoic acid

Valeric acid

Pentanoate

Valerate

20
New cards

4: Naming Carboxylic Acids Salts

Replace “ic acid” with “ate.”

Acid

Salt (with Na⁺)

acetic acid

sodium acetate

butanoic acid

sodium butanoate

propionic acid

potassium propionate

21
New cards

5: Ester Naming

         O

          ||

R–C–O–R'

Where are the alochol and acid parts? 

  • R' (alcohol part) → named first as an alkyl group

  • R–C=O (acid part) → drop “-ic acid”, replace with -ate

22
New cards

5: For each ester below, identify the portion that came from the acid and point out the ester linkage.


The portion from the acid is the alkyl group, while the ester linkage is the -COO- bond connecting the alkyl group to the remainder of the molecule.

<p>The portion from the acid is the alkyl group, while the ester linkage is the -COO- bond connecting the alkyl group to the remainder of the molecule. </p>
23
New cards
<p>6: Give the IUPAC name for each of the following:</p><p><br></p><p></p>

6: Give the IUPAC name for each of the following:


IUPAC naming for esters involves identifying the alkyl group from the alcohol and the acid, and naming them accordingly, typically in the form "alkyl-alkanoate." Jump and name the O first

Naming starts when 1 on ring

<p>IUPAC naming for esters involves identifying the alkyl group from the alcohol and the acid, and naming them accordingly, typically in the form "alkyl-alkanoate." Jump and name the O first</p><p></p><p>Naming starts when 1 on ring</p>
24
New cards
<p>6: Give the IUPAC name for each of the following esters.</p>

6: Give the IUPAC name for each of the following esters.

a) methyl butanoate

b) propyl ethanoate (ethyl is two!)

25
New cards

6: Write a structural formula for each of the following chemical names.


a) isopropyl ethanoate


b) propyl 2-fluorobenzoate

c) methyl 3-methylpentanoate

The name of an ester is derived from the name of the group bonded to the ester oxygen followed by the name of the acid in which the "-oic acid" ending has been replaced with "-oate", for example, ethyl butanoate. Esters derived from cycloalkanecarboxylic acids are named as carboxylates, for example, methyl cyclopentanecarboxylate


<p>The name of an ester is derived from the name of the group bonded to the ester oxygen followed by the name of the acid in which the "-oic acid" ending has been replaced with "-oate", for example, ethyl butanoate. Esters derived from cycloalkanecarboxylic acids are named as carboxylates, for example, methyl cyclopentanecarboxylate</p><p><br></p>
26
New cards

7: Key reactions of esters?

1. Esterification

Acid + Alochol → Ester + water

  1. Ester Hydrolysis

a) Acidic hydroylysis (reverse of esterification)

Ester + water → Acid + Alochol

b) Basic hydroylysis (Saponification)

Ester + Base → carboxylate salt + alochol

27
New cards
<p>7: What product may form when saponification of ethyl butanoate occurs?</p>

7: What product may form when saponification of ethyl butanoate occurs?

Saponification is the basic cleavage of an ester linkage that produces the sale of a carboxylic acid and an alcohol. The products are:

<p>Saponification is the basic cleavage of an ester linkage that produces the sale of a carboxylic acid and an alcohol. The products are: </p>
28
New cards
<p>7:&nbsp;</p>

7: 

knowt flashcard image
29
New cards

Which product is formed from ethanoic acid + NaOH?

This is a carboxylic acid + base. Therefore forming a carboxylic salt.

Carboxylic acid salts are ionic compounds formed when a carboxylic acid reacts with a base, replacing the acidic hydrogen with a metal or organic cation. These salts, also known as carboxylates, are often water-soluble


(carboxyl salt)
acid + base = salt + water

Note:
1. Acid + Base → Salt + Water (NOT an ester)

  • NaOH, KOH, Ca(OH)₂ = base → makes SALTS

  • Products are always:
    carboxylate salt + H₂O

This is neutralization.

30
New cards

How to name a carboxylic acid salt

Metal + acidname-oate

Carboxylic acids example:

Sodium ethanoate

potassium butanoate

lithium propoate

Esters Come ONLY from:

Acid + Alcohol (H⁺ catalyst)

NOT from:

  • acid + base

  • acid + salts

  • base + alcohol

Also, carboxylic salts are more water soluble

Shorter chain = more polar = more soluble

(propanoic > decanoic) for example in water solubility and polarity

Opposite of boiling point

Explore top flashcards