AP Calc BC/Calc 1 and 2 Flashcards

0.0(0)
studied byStudied by 3 people
0.0(0)
full-widthCall with Kai
GameKnowt Play
New
learnLearn
examPractice Test
spaced repetitionSpaced Repetition
heart puzzleMatch
flashcardsFlashcards
Card Sorting

1/46

encourage image

There's no tags or description

Looks like no tags are added yet.

Study Analytics
Name
Mastery
Learn
Test
Matching
Spaced

No study sessions yet.

47 Terms

1
New cards

What must be true to use the Intermediate Value Theorem

The function must be continuous on the given interval. (Chap 1)

2
New cards

Justification statement for the Intermediate Value Theorem

By the intermediate value theorem, there exists a value c between a and b such that f(c)=k (Chap 1)

3
New cards

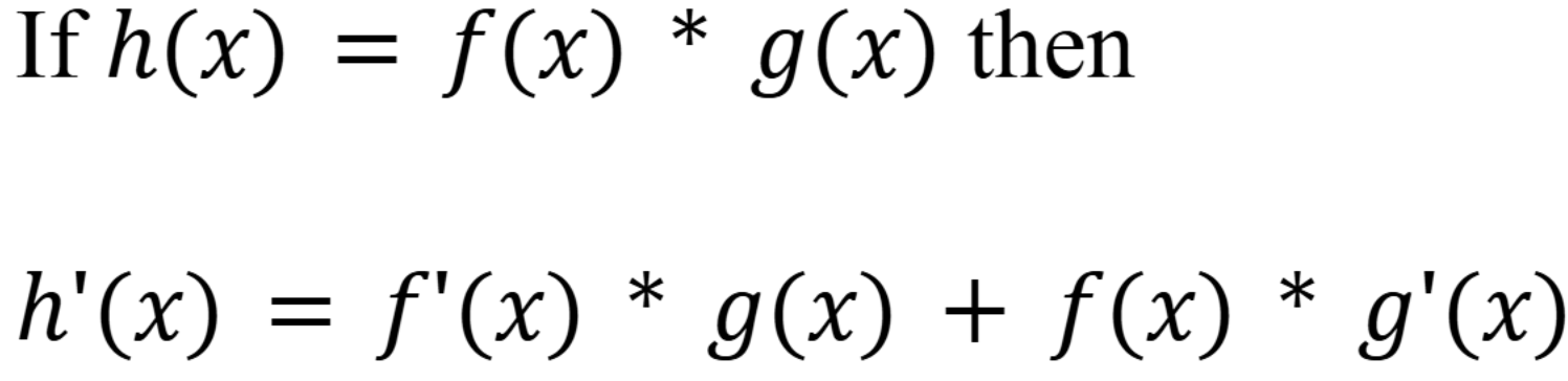
Product rule formula

(Chap 5)

<p>(Chap 5)</p>
4
New cards

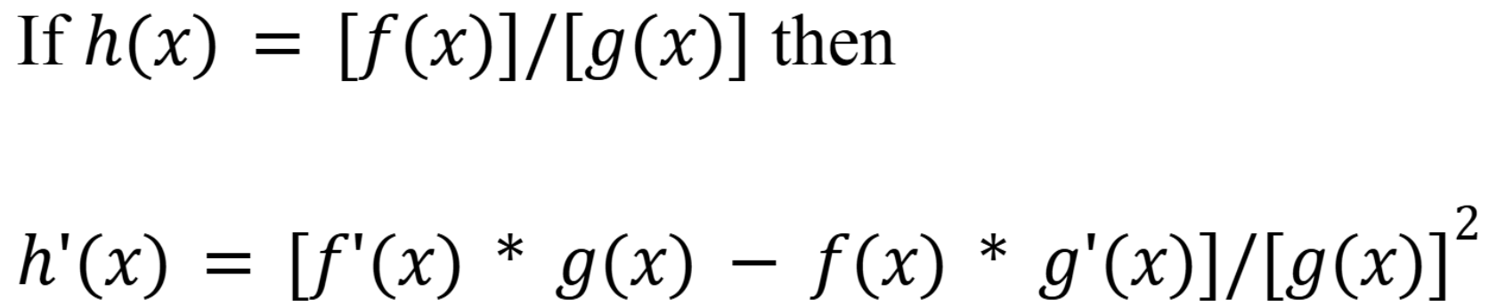
Quotient rule formula

(Chap 5)

<p>(Chap 5)</p>
5
New cards

Derivative of tanx

(tanx)’ = sec²x (Chap 5)

6
New cards

Derivative of cscx

(cscx)’ = -cscxcotx (Chap 5)

7
New cards

Derivative of secx

(secx)’ = secxtanx (Chap 5)

8
New cards

Derivative of cotx

(cotx)’ = -csc²x (Chap 5)

9
New cards

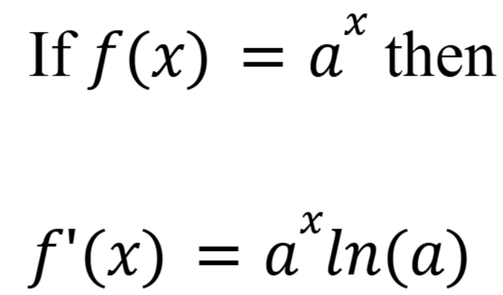
Derivative of exponentials

(Chap 6)

<p>(Chap 6)</p>
10
New cards

Integrals of exponentials

(Chap 6)

<p>(Chap 6)</p>
11
New cards

Derivative of sine inverse

(Chap 6)

<p>(Chap 6)</p>
12
New cards

Derivative of cosine inverse

(Chap 6)

<p>(Chap 6)</p>
13
New cards

Derivative of tangent inverse

(Chap 6)

<p>(Chap 6)</p>
14
New cards

Derivatives of inverse functions

(Chap 6)

<p>(Chap 6)</p>
15
New cards

Arc Length formula

(Chap 7 I think)

<p>(Chap 7 I think)</p>
16
New cards

Integration by parts formula

(Chap 7 I think)

<p>(Chap 7 I think)</p>
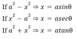
17
New cards

Trig-sub formulas

(Chap 7 I think)

<p>(Chap 7 I think)</p>
18
New cards

Washer formula

(Chap 8)

<p>(Chap 8)</p>
19
New cards

Geometric test

If the series is in the form r^n where r is a constant, and -1 < r < 1 then the series converges. If not, the series diverges (Chap 10)

20
New cards

Justification statement for Geometric test

By the geometric series test, -1 < r < 1, and r=?, therefore this series (Converges or diverges) (Chap 10)

21
New cards

Sum of a geometric series

Sum = a/(1-r). Where a is the starting term and r is the growth factor. (Chap 9/10)

22
New cards

Divergence test

If the limit as n goes to infinity does NOT equal 0, the series diverges. (Chap 10)

23
New cards

Justification statement for Divergence test

(Chap 10)

<p>(Chap 10)</p>
24
New cards

Alternating Series test

If the series is alternating (Positive to negative and etc), If the limit as n goes to infinity of the absolute value of the series equals 0, then the series converges. If the limit isn't 0, then the series diverges. If it equals infinity it diverges (Chap 10)

25
New cards

Justification statement for Alternating Series test

(Chap 10)

<p>(Chap 10)</p>
26
New cards

Integral test

If f is a, positive, continuous and decreasing function, on the interval [1,infinity), and the integral from 1 to infinity of the series is finite, then the series converges. You MUST state the function is positive, continuous and decreasing on the interval. (Chap 10)

27
New cards

Justification statement for the Integral test

On the interval [k,infinity). Note: k is the lower bound of the sigma notation. (Chap 10)

<p>On the interval [k,infinity). Note: k is the lower bound of the sigma notation. (Chap 10)</p>
28
New cards

P-series test

In the form a/(n^p) where a is a constant. If p is greater than 1, the series converges, if p is less than or equal to 1, the series diverges. No work is necessary for the justification. (Chap 10)

29
New cards

Justification for the P-series test

(Chap 10)

<p>(Chap 10)</p>
30
New cards

Direct Comparison Test

MUST list first 4 terms of the series. The rule of the thumb is to compare the series to (1/n), or (1/n^2). You need to determine if the series your comparing it too is converging or diverging, and use that to determine if the original series converges or diverges. (Chap 10)

31
New cards

Justification for the Direct Comparison test

Use another test and compare. (Chap 10)

32
New cards

Limit comparison test

If the direct comparison test does not work, then you will usually use a limit comparison test. You need to compare the series to another expression.. If the limit as n goes to infinity of their ratios is finite and NOT 0, then both series must converge, or both diverge (Chap 10)

33
New cards

Justification for limit comparison test

knowt flashcard image
34
New cards

Ratio test

If it equals 1, its inconclusive (Chap 10)

<p>If it equals 1, its inconclusive (Chap 10)</p>
35
New cards

Justification for Ratio test

(Chap 10)

<p>(Chap 10)</p>
36
New cards

Formula for area of a polar function

(Chap 11)

<p>(Chap 11) </p>
37
New cards

Slope of a parametric

(Chap 11)

<p>(Chap 11)</p>
38
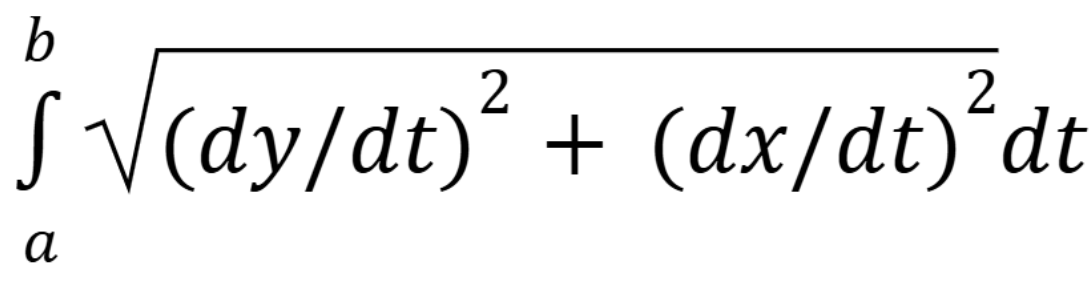
New cards

Arc length of parametric

Make sure to include proper unit (Chap 11)

<p>Make sure to include proper unit (Chap 11)</p>
39
New cards

Second derivative of a parametric

(Chap 11)

<p>(Chap 11)</p>
40
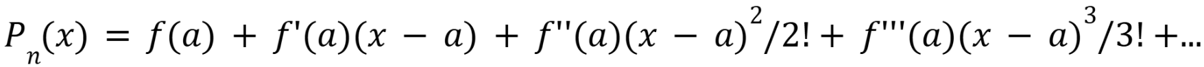
New cards

General case for a taylor polynomial around x = a

(Chap 12)

<p>(Chap 12)</p>
41
New cards

General case for the Maclaurin series for sinx

(Chap 12)

<p>(Chap 12)</p>
42
New cards

General case for the Maclaurin series for cosx

(Chap 12)

<p>(Chap 12)</p>
43
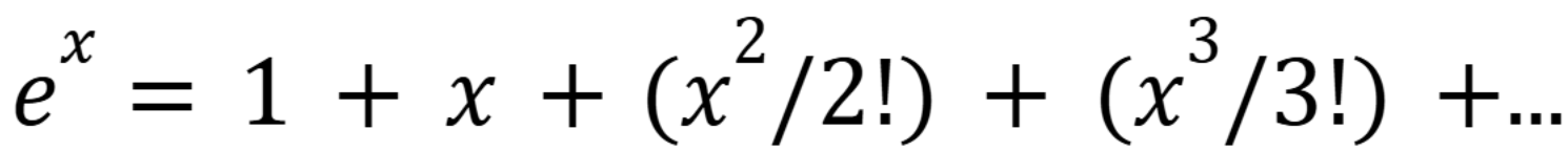
New cards

General case for the Maclaurin series for e^x

(Chap 12)

<p>(Chap 12)</p>
44
New cards

Alternating series error bound formula

(Chap 12)

<p>(Chap 12)</p>
45
New cards

LaGrange Error Formula

(Chap 12)

<p>(Chap 12)</p>
46
New cards

Absolute convergence

If both series, the original series and its non-alternating counterpart converge, then the original series converges absolutely (Chap 12)

47
New cards

Conditional convergence

If the original series, but not the non-alternating counterpart converge, then the original series converges conditionally (Chap 12)