1/7
Looks like no tags are added yet.
Name | Mastery | Learn | Test | Matching | Spaced |
|---|
No study sessions yet.

Label This Diagram
a - paper rider
b - tuning fork
c - string
d - pulley
e - weight
f - bridge
g - sonometer
Demonstrate the method of this experiment • 1
Place paper rider on string
Strike tuning fork and place on bridge
Demonstrate the method of this experiment • 2
Slide bridge until resonance occurs and paper rider falls off
Strings frequency matches the tuning forks
Demonstrate the method of this experiment • 3
Measure length between both bridges
Repeat with other tuning fork frequencies
Define the headings used to graph this experiment
y - f - Hz
x - 1/l - m-1
Define a precaution that is associated with this experiment
Keep rider at the centre - where the antinode is

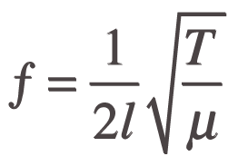
Label This Formula
Fundamental Frequency of Strings
f - fundamental frequency
l - length
T - tension
u - mass per unit length
What page of the log tables can you find the Fundamental Frequency formula?
59