1/29
Looks like no tags are added yet.
Name | Mastery | Learn | Test | Matching | Spaced |
|---|
No study sessions yet.
Perchè sono comodi i numeri adimensionali?
Posso capire i termini trascurabili
Informazioni fisiche sul moto
Significato numero di Froude?
Finerzia / Fgravità
Ci dice se il responsabile del moto è la gravità o un’altra accelerazione

Significato numero di Eulero?
Finerzia / Fpressione

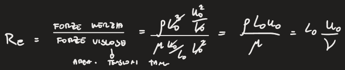
Significato numero di Reynolds?
Finerzia / Fviscose
Basso —> flusso laminare
Alto —> flusso turbolento

Quali parti compongono le eq indefinite del moto?
a sx: variazione di ciò che ho dentro + flussi di QdM
a dx: ho le forze (tensioni + peso)


Perchè le eq del moto differenziali vengono dette indefinite?
perchè non specifichiamo il fluido e il legame reologico
Come si ricava la legge reologica per fluidi newtoniani?
Approccio assiomatico
Da che intuizione si parte per definire la legge reologica per fluidi newtoniani?
Il tensore delle tensioni è legato al tensore delle velocità di deformazione

Quali sono gli assiomi utilizzati per ricavare la legge reologica?
Dipendenza linare T e D
Omogeneità (non dipende dalla posizione)
Isotorpia (non dip dall’orientamento assi)
In statica deve valere pascal —> Dij =
Quali sono le 4 equazioni e le 4 incognite che mi permettono di descrivere il moto di un fluido?
Conosco mu e peso specifico
Incognite: 3 comp. velcoità e pressione
Eq: 3 eq Navier- Stokes + 1 continuità
Che ipotesi stanno alla base delle Eq di Navie-Stokes?
Fluidi newtoniano e incomprimibile
+ipotesi per ricavare le eq diff indefinite
Quali sono i 3 approcci per risolvere il sistema differenziale non lineare del secondo ordine (3 eq Navier- Stokes + 1 continuità)?
Soluzione numerica
Approssimato
Soluzione analitica
Consideriamo delle semplificazioni
Modelli in scala
Che grandezze scala vengono scelte per adimensionalizzare?
Lunghezza, velocità e pressione
Vanno scelte in modo furbo, non a caso
Che similitudini vanno rispettate tra modello in scala e prototipo?
Geometrica (decido io), cinematica e dinamica
Se scelgo scala geometrica pari a 1/10 come dev’essere la velocità?
10 volte la velocità del prototipo
Perchè siano verificate le 3 similitudini idrodinamiche cosa serve verificare?
Che coincidano i vari numeri adimensionali
In realtà si impone uguaglianza solo con il numero che rappresenta la forza predominante del moto
Che ipotesi stanno alla base del primo teorema di bernulli?
Fluido perfetto, incomprimibile
Moto permanente
Cosa dice il primo teorema di bernulli?
Per un fluido perfetto, incomp. in moto permanente
Lungo una l.c. si mantengono le 3 forme di energia
Cosa significa quando la linea piezometrica scende sotto la linea geodetica?
Ho pressioni relative minori di 0, ovvero minori della pressione atmosferica

Cosa si nota quando si analizza il PTBernulli in un piano con linea piezometrica inclinata?
Il tubo subisce una restrizione
La velocità aumenta a spese della pressione

Con le equazioni di Eulero come si può descrivere l’andamento della pressione in direzione ortogonale alle linee di corrente?
Si usa la seconda equazione di Eulero in coordinate intrinseche
Per linee di corrente rettilinee sappiamo che R —> inf

Com’è la distribuzione di pressione normale a linee di corrente rettilinee?
Distribuzione di tipo idrostatico
Com’è la distribuzione di pressione normale a linee di corrente curve?
Si valuta variazione rispetto alla pressione idrostatica
Per curvature concave verso il basso togliamo un po’ di pressione
Per concave verso l’alto aggiungiamo un pezzo
Che differenza c’è tra le equazioni di Eulero e Navier-Stokes?
Eulero si ricava a partire da Navier Stokes con l’ipotesi di fluido perfetto
Scompare termine secondo ordine
Come si ricava il secondo teorema di Bernulli?
Eq cartesiana di Eulero + hp irrotazionalità
Cosa dice il secondo teorema di bernulli?
Trinomio di Bernulli è valido su tutto il campo di moto
Particolarità condizioni di applicazione secondo Teo Bernulli?
L’irrotazionalità elide in ogni caso il termine viscoso
Vale anche per fluidi reali!!!
Qual è l’andamento della velocità in un Vortice di Rankine?
lineare + iperbolico
Dipende da un raggio particolare
Come si trova l’andamento di velcotià e piezometrica di un vortice di Rankine?
Hp moto rotazionale R < Ri
Hp moto irrotazionale R > Ri
Poi compongo i moti
Arrivato fino a moti irrotazionali ——-