1/59
I LOVE PROTEIN RAHHHHHHHHHHHHHHH
Name | Mastery | Learn | Test | Matching | Spaced | Call with Kai |
|---|
No study sessions yet.

Name
Glycine

3-Letter Abbreviation
Gly

1-Letter Abbreviation
G

Name
Alanine

3-Letter Abbreviation
Ala

1-Letter Abbreviation
A

Name
Valine

3-Letter Abbreviation
Val

1-Letter Abbreviation
V

Name
Leucine

3-Letter Abbreviation
Leu

1-Letter Abbreviation
L

Name
Isoleucine

3-Letter Abbreviation
Ile

1-Letter Abbreviation
I

Name
Methionine

3-Letter Abbreviation
Met

1-Letter Abbreviation
M

Name
Proline

3-Letter Abbreviation
Pro

1-Letter Abbreviation
P

Name
Phenyalanine

3-Letter Abbreviation
Phe

1-Letter Abbreviation
F

Name
Tryptophan

3-Letter Abbreviation
Trp

1-Letter Abbreviation
W

Name
Serine

3-Letter Abbreviation
Ser

1-Letter Abbreviation
S

Name
Threonine

3-Letter Abbreviation
Thr

1-Letter Abbreviation
T

Name
Tyrosine

3-Letter Abbreviation
Tyr

1-Letter Abbreviation
Y

Name
Cysteine

3-Letter Abbreviation
Cys

1-Letter Abbreviation
C

Name
Asparagine

3-Letter Abbreviation
Asn

1-Letter Abbreviation
N

Name
Glutamine

3-Letter Abbreviation
Gln

1-Letter Abbreviation
Q

Name
Lysine

3-Letter Abbreviation
Lys

1-Letter Abbreviation
K

Name
Arginine

3-Letter Abbreviation
Arg

1-Letter Abbreviation
R

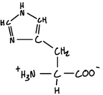
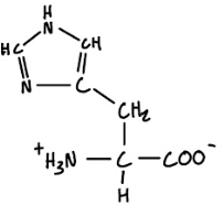
Name
Histidine

3-Letter Abbreviation
His

1-Letter Abbreviation
H

Name
Aspartate

3-Letter Abbreviation
Asp

1-Letter Abbreviation
D

Name
Glutamate

3-Letter Abbreviation
Glu

1-Letter Abbreviation
E