Statistics and Machine Learning 1

0.0(0)
studied byStudied by 3 people
full-widthCall with Kai
GameKnowt Play
learnLearn
examPractice Test
spaced repetitionSpaced Repetition
heart puzzleMatch
flashcardsFlashcards
Card Sorting

1/14

encourage image

There's no tags or description

Looks like no tags are added yet.

Study Analytics
Name
Mastery
Learn
Test
Matching
Spaced

No study sessions yet.

15 Terms

1
New cards

Law of total probability

P(B) = P(B|A1) . P(A1) + P(B|A2) . P(A2) + … + P(B|An) . P(An)

2
New cards

Bayes theorem

<p></p><p></p>
3
New cards

What is Bernoulli distribution?

Discrete probability distribution that models a single experiment with only two possible outcomes.

If P(X = 1) = q then P(X = 0) = 1 - q

4
New cards

How to calculate the mean and variance of a Bernoulli distribution?

Mean(X) = E(X)

  • Mean(X) = q

Var(X) = E[X2] - E[X]2

  • Var(X) = q - q2

5
New cards

What is the binomial distribution?

Discrete probability distribution that represents the outcome of n independent trials. Its PMF Bin(k | n, q) is the probability of k positive outcomes in n trials given a positive outcome probability q.

<p>Discrete probability distribution that represents the outcome of n independent trials. Its PMF Bin(k | n, q) is the probability of k positive outcomes in n trials given a positive outcome probability q.</p>
6
New cards

What are the mean and variance for a binomial distribution?

Mean(X) = nq

Var(X) = nq(1-q)

7
New cards

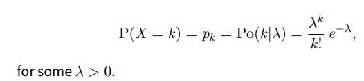
What is the poisson distribution?

Discrete probability distribution that represents the number of events that can happen with a ‘rate’ λ.

<p>Discrete probability distribution that represents the number of events that can happen with a&nbsp;‘rate’&nbsp;λ.</p>
8
New cards

What are the mean and variance of a poisson distribution?

Mean(X) = λ

Var(X) = λ

9
New cards

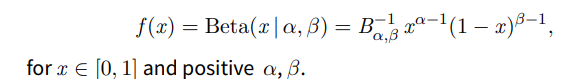
What is the beta distribution?

Continuous distribution used to represent uncertainty in proportions

<p>Continuous distribution used to represent uncertainty in proportions</p>
10
New cards

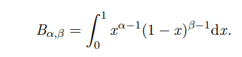
What is the normalising constant of the beta distribution and how is it calculated?

B-1α,β. Chosen so P(0 <= x <= 1) = 1. Calculated with an integral.

<p>B<sup>-1</sup><sub>α,β</sub>. Chosen so P(0 &lt;= x &lt;= 1) = 1. Calculated with an integral.</p><p></p>
11
New cards

What are the mean and variance of the beta distribution?

<p></p>
12
New cards

What is the gamma distribution and how is it calculated?

Continuous probability distribution used to model times between events

<p>Continuous probability distribution used to model times between events</p>
13
New cards

What are the mean and variance of the gamma distribution?

Mean(X) = κθ

Var(X) = κθ2

14
New cards

In the gamma distribution, what happens if k = 1

Creates exponential distribution, or the distribution of times between events for a memoryless process

15
New cards

Suppose we have two random variables, X1 and X2 that are independent and are both normally distributed with means µ1 and µ2 and variances σ21 and σ22 , respectively.

  1. What is the mean and variance of X1 + X2?

  2. What is the mean and variance of aX1 + b

  1. Mean = µ1 + µ2 Var = σ21 + σ22

  2. Mean = aµ1 + b Var = a2o21