1/16
Looks like no tags are added yet.
Name | Mastery | Learn | Test | Matching | Spaced |
|---|
No study sessions yet.
Change of Variables in Double Integrals
J is |J|

“J” is the Jacobian determinant =
rows = original variables (x,y)
columns = new variables (u,v)

If given transformation from x,y to u,v, plug ___ and ___ into R to get ____ of u and v
Note: get rid of fractions by multiplying to make it easier
Then find ___ and rewrite your double integral in terms of ___
“x=”, “y=”, bounds
|J|, u & v
How to pick your transformation
parallelogram —> _____
ellipse —> ___
in general: _____ w/ ____ = u, other complicated expression w/ x’s and y’s = v
rectangle
circle
complicated expression, x’s and y’s
Transforming a triple integral


integrals along curve

steps to creating integral equation for curve
find r(t) by finding x(t) and y(t)
for circles, x=____ and y=____, therefore bounds of t will be ____
for line segments, we want 0 ≤ t ≤ 1 so x=____ and y=____. Assign one point t=__ and other point t=__, solve for c’s and k’s to get r(t)
for variables in terms of each other (eg. y=x²) make one variable __ and the other in terms of t (y=x² —> x=t, y=t², t bounds would be x coords of the two points of line seg)
find ___
rewrite integral in terms of t
rcost, rsint, angles
c1 + k1t , c2 + k2t, 0, 1
t
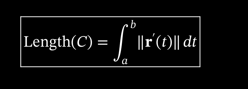
||r’t||
when solving for integral equation for curve,
If you don’t get integral w/ respect to ds, like dx + dy + dz, after solving for ___, do dx = __dt and dy=__dt, replace them in the f(rt) equation and combine, and then don’t need ||r’t||
if C is not smooth…
r(t)
do multiple integrals and add

arclength of curve C

average value of f defined along curve c

centroid of curve

Center of Mass of region C

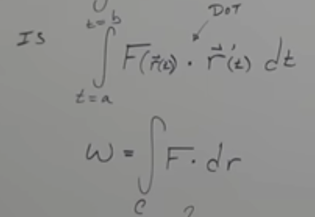
Work done by moving particle along C thru nonconservative vector field

Steps for solving Work done by moving particle along C thru nonconservative vector field
reparametrize to get r(t) and t bounds
rewrite F(x,y) into ___ and find ___
do the ______
integrate
F(r(t)), r’t
dot product
Vector Field

Fundamental Theorem of Line Integrals

Solving for work Using Fundamental Theorem of Line Integrals
Show vector field F is conservative
F(x,y) = 〈P, Q〉—> ______
F(x,y,z) =〈P, Q, R〉 —> Curl F = 0 (every part must be 0) or _____
F = ∇f = 〈∂f/∂x, ∂f/∂y, ∂f/∂z〉
_____ = expression + “g(y,z)”
partial derivative w/r/t y and z, if u get ∂f/∂y, ∂f/∂z from earlier just add “c”
derivative of that w/r/t ___ = expression + ∂g/∂y
set equal to ___ —> solve for ∂g/∂y
_____ ∂g/∂y w/r/t y —>____, plug this into “g(y,z)” for f(x,y,z)
derivative of f w/r/t z = expression + “h’(z)”, set equal to ∂f/∂z and solve for h’z
integrate h’(z) w/r/t z = h(z) + c, add to f(x,y,z) for full expression
Use fundamental theorem: ____
∂Q/∂x =∂P/∂y
∂Q/∂x =∂P/∂y, ∂R/∂x =∂P/∂z, ∂R/∂y =∂Q/∂z the partials with respect to the other variables must be equal
∫∂f/∂xdx
y
∂f/∂y
integrate
g(y)+”h(z)”
f(x,y)
f(b)-f(a)