Home
Explore
Exams
Search for anything
Login
Get started
Home
inverse trig antiderivs.
inverse trig antiderivs.
0.0
(0)
Rate it
Studied by 0 people
0.0
(0)
Rate it
Call Kai
Learn
Practice Test
Spaced Repetition
Match
Flashcards
Knowt Play
Card Sorting
1/3
There's no tags or description
Looks like no tags are added yet.
Study Analytics
All Modes
Learn
Practice Test
Matching
Spaced Repetition
Call with Kai
Name
Mastery
Learn
Test
Matching
Spaced
Call with Kai
No study sessions yet.
4 Terms
View all (4)
Star these 4
1
New cards
2
New cards
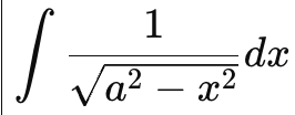
3
New cards
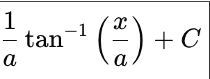
4
New cards
.
.