1/54
Looks like no tags are added yet.
Name | Mastery | Learn | Test | Matching | Spaced | Call with Kai |
|---|
No analytics yet
Send a link to your students to track their progress
MORFINA

Effetti della MORFINA (principali e secondaria)
PRINCIPALI:
ANALGESIA
DEPRESSIONE RESPIRATORIA
DIPENDENZA FISICA e PSICOLOGICA
COSTIPAZIONE
SECONDARI:
euforia, sedazione
Depressione dei riflessi della tosse
Nausea, vomito
Miosi
Rilascio di Istamina (vasodilatazione, broncocostrizione, prurito)
Effetti sul sis endocrino
Immunosoppressione
SAR della morfina
Caratteristiche strutturali essenziali per essere µ-agonisti:
presenza anello aromatico A
N basico (N-CH3), protonabile a pH fisiologico in 17. Se CH3 viene sostituito con quei gruppi definiti “magici” si ha un’inversione dell’attività della molecola, diventa antagonista. Non si può quaternizzare =aggiungere una carica permanente, perchè la molecola non potrà diffondere a livello centrale
OH fenolico—> riproduce la tirosina dei peptidi oppioidi endogen. È consentita l’acetilazione degli OH che rendono la molecola più lipofila, quindi più assorbibile. Poi una vota assorbita avviene l’idrolisi dell’estere e si rigenera il fenolo che interagisce con il recettore.
CODEINA

Metabolismo della morfina e codeina per via orale

Descrizione struttura morfina
STRUTTURA A T in cui l’anello CD e l’anello AB sono quasi perpendicolari
5 CENTRI STEREOGENICI, 16 stereoisomeri dovuti alle ristrettezze geometriche. I carboni 9 e 13 funzionano come un unico stereocentro, devono avere i sostituenti dalla stessa parte del piano. ENANTIOMERO NATURALE LEVOGIRO: 5R,6S,9R,13S,14R. L’enantiomero destrogiro p meno affine al recettore.
Derivati sintetici e come ottenerli della MORFINA

OSSIMORFONE

OSSICODONE

NALOXONE

NALTREXONE

TEBAINA

ETORFINA

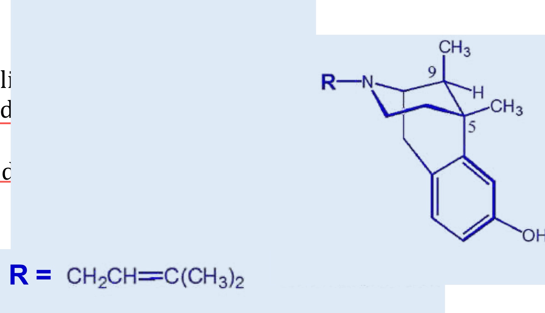
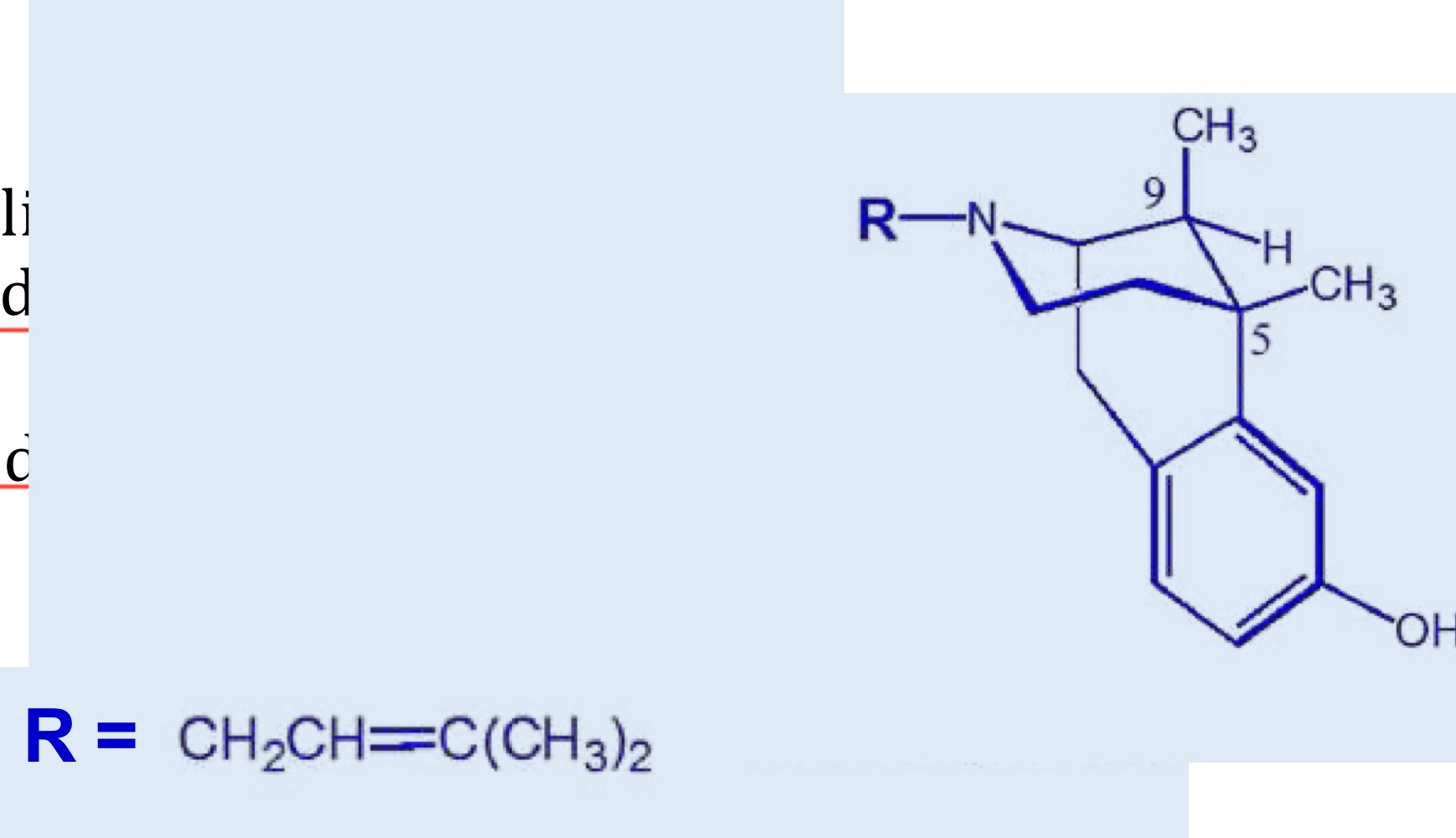
BUPRENORFINA



Derivati della morfina per semplificazione della struttura (anche struttura)

LEVORFANOLO

DESTROMETORFANO

METAZOCINA

PENTAZOCINA


MEPERIDINA

MPP

Problemi dell’MPP

LOPERAMIDE

FENTANILE

AFENTANILE

METADONE

5-metilMETADONE


Sintesi metadone

METALOLO

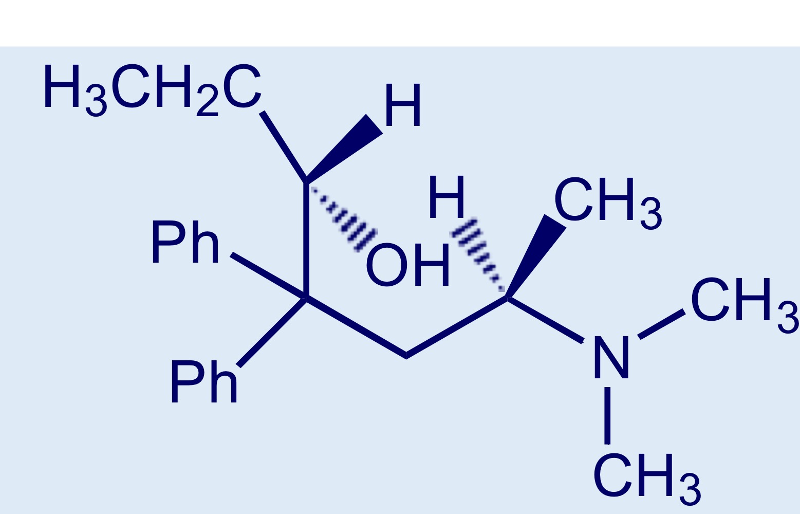
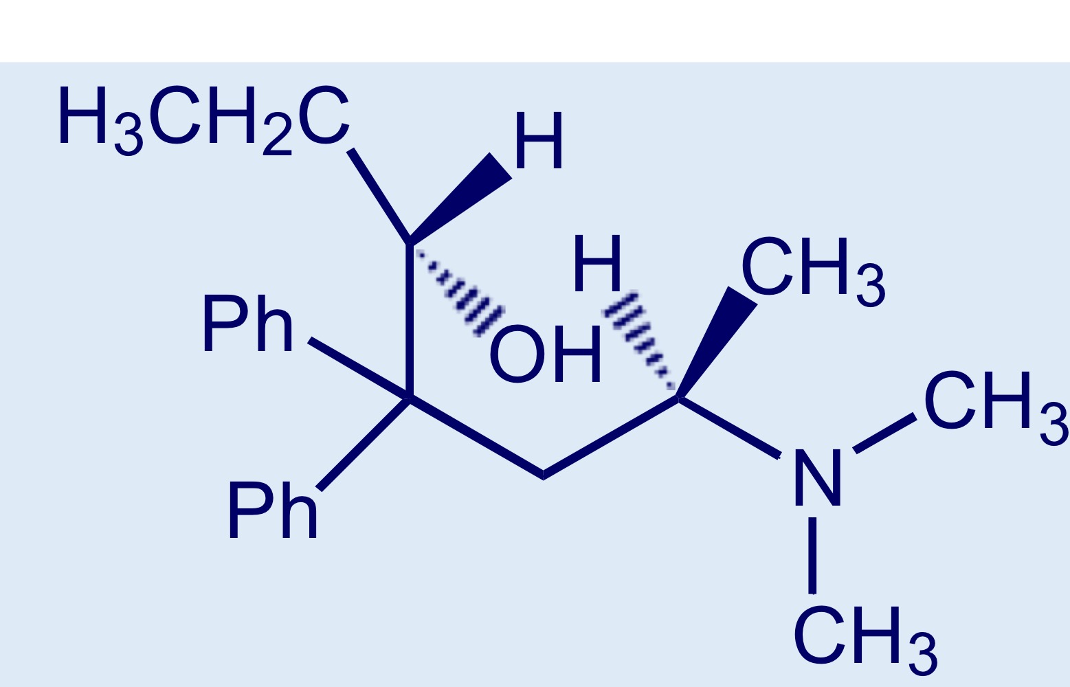
PROPOSSIFENE


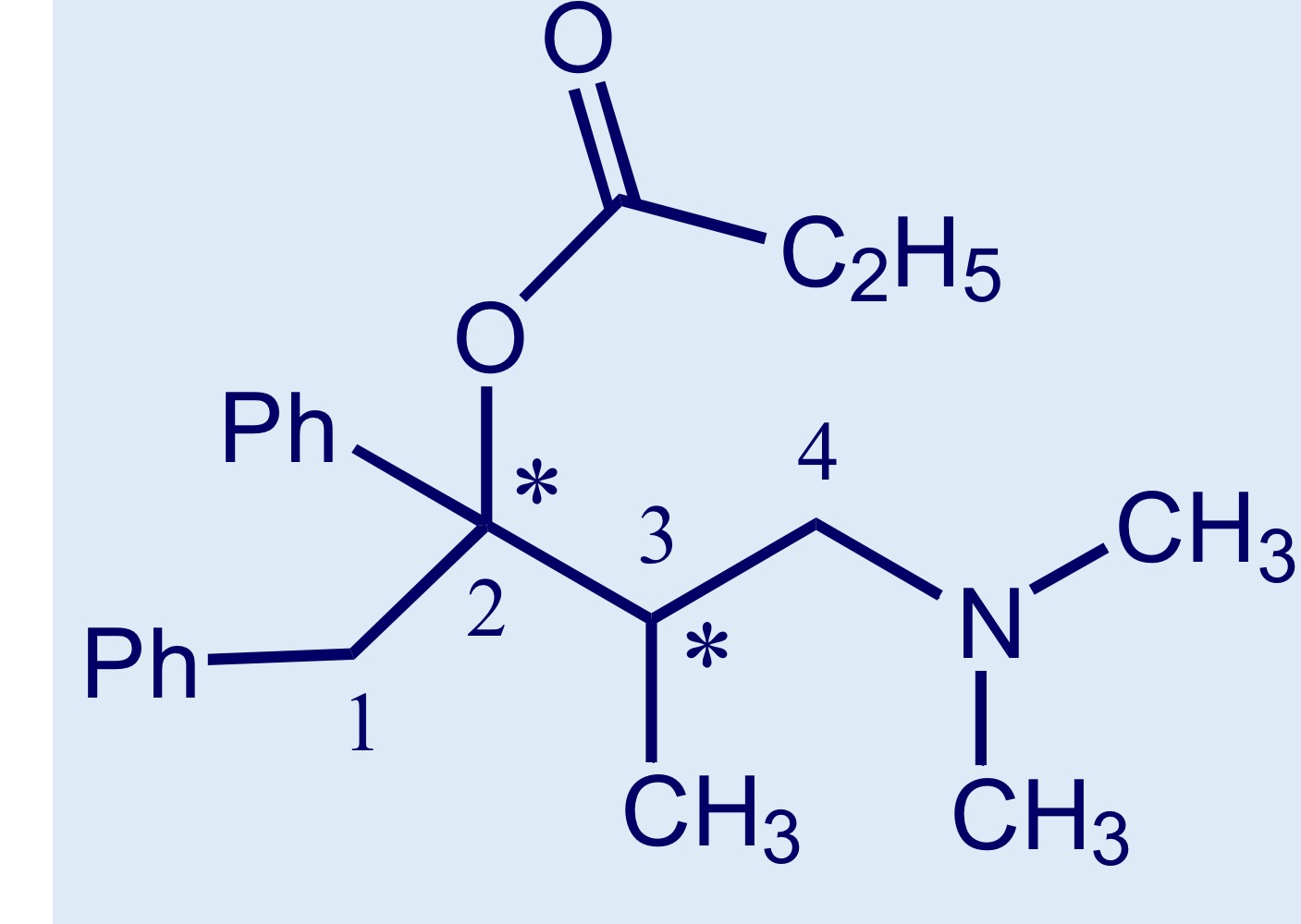
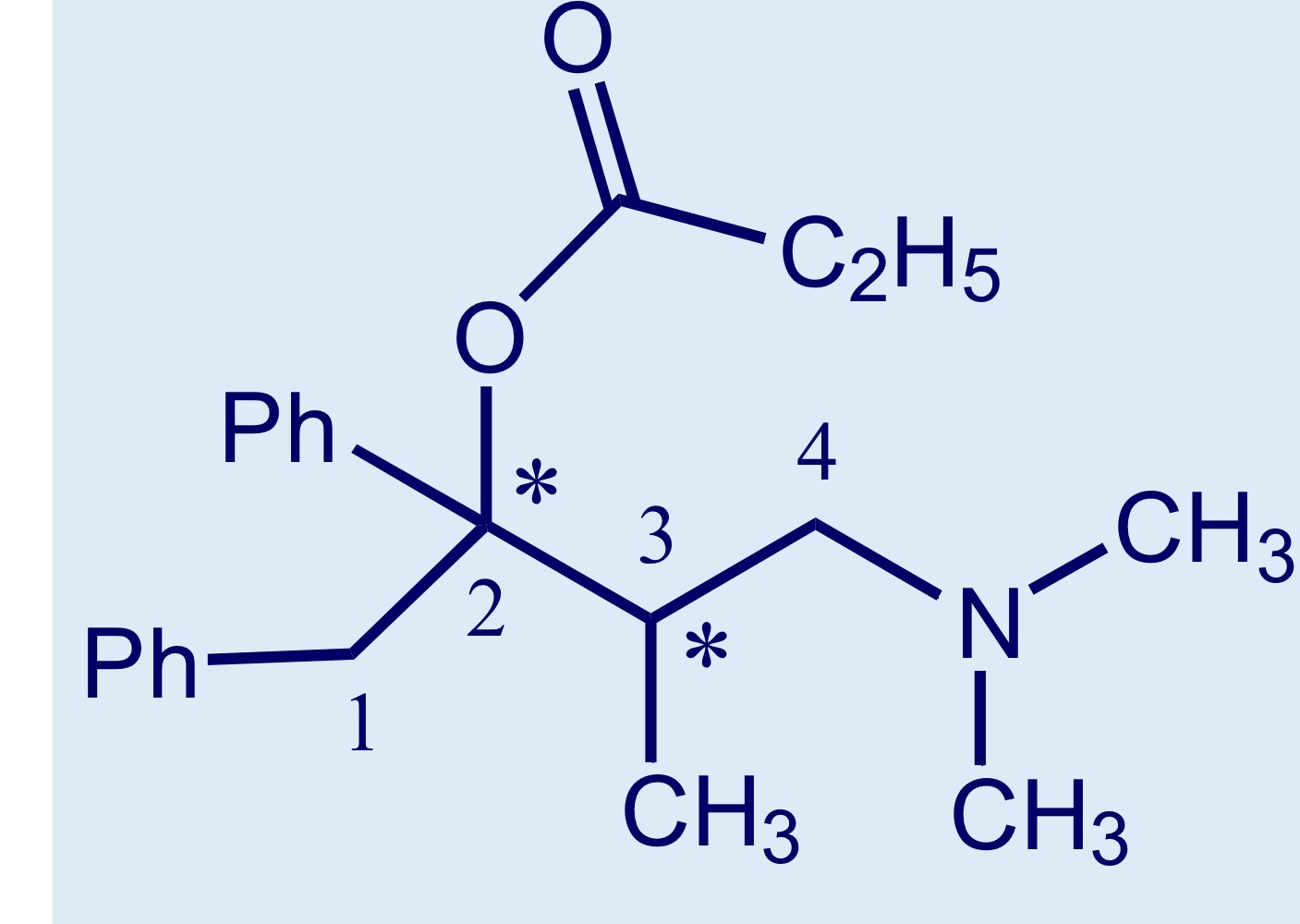
Sintesi propossifene


Riconosci la molecola:
MORFINA

Riconosci la molecola:
CODEINA

Riconosci la molecola:
OSSIMORFONE

Riconosci la molecola:
OSSICODONE

Riconosci la molecola:
NALOXONE

Riconosci la molecola:
NALTREXONE

Riconosci la molecola:
TEBAINA

Riconosci la molecola:
ETORFINA

Riconosci la molecola:
BUPRENORFINA

Riconosci la molecola:
LEVORFANOLO

Riconosci la molecola:
DESTROMETORFANO

Riconosci la molecola:
METAZOCINA

Riconosci la molecola:
PENTAZOCINA

Riconosci la molecola:
MEPERIDINA

Riconosci la molecola:
MPP

Riconosci la molecola:
LOPERAMIDE

Riconosci la molecola:
FENTANILE

Riconosci la molecola:
AFENTANILE

Riconosci la molecola:
METADONE

Riconosci la molecola:
5-METILMETADONE

Riconosci la molecola:
METALOLO

Riconosci la molecola:
PROPOSSIFENE