1/13
Looks like no tags are added yet.
Name | Mastery | Learn | Test | Matching | Spaced |
|---|
No study sessions yet.
Angle
A rotation about a point (vertex)
It has an Initial Ray and Terminal Ray
Radian
The central Angle at which the radius is equal to the art length
Standard Position
On a coordinate plane, vertex is at the origin and the initial ray is on the positive x-axis.
Quadrantal Angles
Angles in standard position whose terminal ray lies on an axis
Coterminal Angles
Angles in standard position with the same terminal ray

Theta
The Measurement of the Central Angle

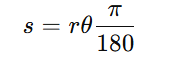
Length of Arc
Radians Relation Arc Length, Radius, Theta

Degrees Relation Arc Length, Radius, Theta

Radians Formula for ArcLength

Degrees formula for Arclength

Radians Sector Area

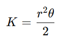
Degrees Sector Area

Reference Angles
One side is terminal ray of angle in standard position and the other side is the closest X axis