1/76
Looks like no tags are added yet.
Name | Mastery | Learn | Test | Matching | Spaced |
|---|
No study sessions yet.

Benzen

Naftalen

Antracen

Pyren

Fenantren

Kumen

Cymen

O xylen

M xylen

P xylen

Ethylbenzen

Toulen

Styren

Vinylchlorid

Jodoform

Chlorodorm

Fluoroform

Formaldehyd

Acetaldehyd

Acetaldehyd

Aceton

Benzaldehyd

Butyraldehyd

Butyraldehyd

Acetylen

Ethylen

Furan

Oxiran

Tetrahydrofuran

Tetrahydropyran - oxolan

P-benzochion

O-benzochion

Glycerol

Thiofen

Propylenglykol

Anilin

Ethylenglykol

Fenol

Alfa-naftol

Beta-naftol

Kyselina propionová

Kyselina octová

Kyselina mravenčí

Kyselina máselná

Kyselina Valerová -5C

Kyselina kaprinová - 10C

Kyselina kapronová -6C

Kyselina kaprylová - 8C

Kyselina palmitová - 16C

Kyselina stearová 18C

Kyselina myristová 14C

Kyselina laurová 12C

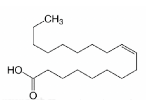
Kyselina olejová

Kyselina linolová

Kyselina linolenová

Kyselina glutarová

Kyselina šťavelová

Kyselina malonová

Kyselina Jantarová

Kyselina adipová

Kyselina isoftalová

Kyselina tetraftalová

Kyselina ftalová

Kyselina benzoová

Kyselina vinná

Kyselina citronová

Kyselina jablečná

Kyselina mléčná

Kyselina fumarová

Kyselina pyrohroznová

Alfapyran

Gamapyran

Pyrrol

Pyridin

Pyrimidin

Purin

Perfluorethen - hexafluorethan