1/22
Looks like no tags are added yet.
Name | Mastery | Learn | Test | Matching | Spaced |
|---|
No study sessions yet.
if α and β are roots of the equation ax² + bx + c = 0 what is α + β
-b/a
if α and β are roots of the equation ax² + bx + c = 0 what is αβ
c/a
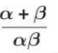
if α,β and γ are roots of the equation ax³ + bx² + cx + d = 0 what is α + β + γ
-b/a
if α,β and γ are roots of the equation ax³ + bx² + cx + d = 0 what is αβ + βγ + γα
c/a
if α,β and γ are roots of the equation ax³ + bx² + cx + d = 0 what is αβγ
-d/a
if α,β,γ and δ are roots of the equation ax^4 + bx³ + cx² + dx + e = 0 what is α+β+γ+δ
-b/a

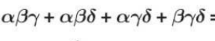
if α,β,γ and δ are roots of the equation ax^4 + bx³ + cx² + dx + e = 0 what is
c/a

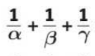
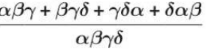
if α,β,γ and δ are roots of the equation ax^4 + bx³ + cx² + dx + e = 0 what is
-d/a

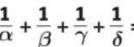
if α,β,γ and δ are roots of the equation ax^4 + bx³ + cx² + dx + e = 0 what is
e/a

-b/a

c/a

-d/a





















