1/62
Looks like no tags are added yet.
Name | Mastery | Learn | Test | Matching | Spaced |
|---|
No study sessions yet.
Slope-Intercept Form
y = mx + b
Point-Slope Formula
y - y1 = m(x - x1)
Quadratic Form
ax² + bx + c = 0
What does ‘x’ equal in the form x² - p = 0?
x = ±√p
What does ‘x’ equal in the form k(x+r)² - p = 0, where k ≠ 0?
x = -r ± √(p/k)
When does the quadratic in the form k(x+r)² - p = 0 have no real solution?
If p/k < 0
Quadratic Formula

What is the formula for the discriminant?
b² - 4ac
What’re the rules for the discriminant?
When the discriminant > 0, two real solutions
When the discriminant = 0, one real solution
When the discriminant < 0, no real solution
Polynomial Form

Monomial Form
xk
Complex Form
a + bi
Conjugate of Complex Form
a - bi
What is a complex form multiplied by its conjugate equal to?
a² + b²
Where does a linear graph intersect the x-axis when a ≠ 0?
x = -b/a
What is ‘k’ equivalent to in quadratic form?

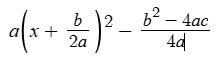
What can quadratic form ax² + bx + c be shifted to be equivalent to?

What are the three properties of ‘a’ in relation to the min/max of a quadratic equation?
When a > 0, the graph has a minimum at x = -b/2a
When a < 0, the graph has a maximum at x = -b/2a
The graph is symmetric with respect to the line x = -b/2a
Distance Formula

Exponential Form
y = ax
Logarithmic Form
logb(a) = c
Natural Logarithmic Form
loge(b) = c
Reciprocal Function
y = 1/x
Change of Base Formula

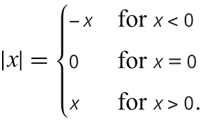
What is the less compact form of |x|?

Pythagorean Theorem
a² + b² = c²
what are the six basic relations among trigonometric functions?
tanα = sinα/cosα
cotα = cosα/sinα
tanα * cotα = 1
sin2α + cos2α = 1
tan2α + 1 = α = 1/cos2α, cosα ≠ 0
1 + cot2α = 1/sin2α, sinα ≠ 0
what can the identity “tan2α + 1 = α = 1/cos2α, cosα ≠ 0?” be rewritten as?
tan2α + 1 = sec2α
what can the identity “1 + cot2α = 1/sin2α, sinα ≠ 0” be rewritten as?
1 + cot2α = csc2α
what are the 4 negative angle identites?
sin(-α) = -sinα
cos(-α) = cosα
tan(-α) = -tanα
cot(-α) = -cotα
what are the 4 sum & difference identities?
sin(α + B) = sinαcosB + cosαsinB
cos(α + B) = cosαcosB - sinαsinB
sin(α - B) = sinαcosB - cosαsinB
cos(α - B) = cosαcosB + sinαsinB
what is the sine double-angle identity?
sin2α = 2sinαcosα
what is the cosine double-angle identity?
cos2α = cos2α - sin2α
what is the tangent double-angle identity?
tan2α = 2tanα/(1-tan2α)
what is the sine half-angle identity?

what is the cosine half-angle identity?

what is the tangent half-angle identity?

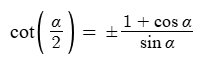
what is the cotangent half-angle identity?

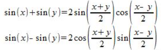
what are the two sine sum-to-product identities?

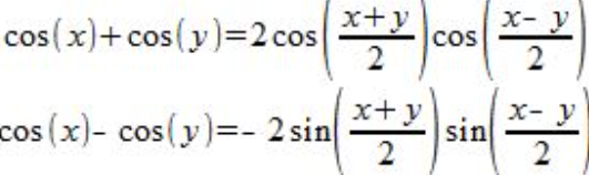
what are the two cosine sum-to-product identities?

what are the two tangent sum-to-product identities?

what are the two cotangent sum-to-product identities?

what is the sine product-to-sum identity?

what is the cosine product-to-sum identity?

what is sine + cosine product-to-sum identity?

what is the law of sines?

what is the law of cosines?

what is vieta’s formula?

what’s the equation for a circle?
(x - h)2 + (y - k)2 = r2
what is midpoint formula?

in a 30-60-90 triangle, what are the rules of the sides?

in a 45-45-90 triangle, what are the rules of the sides?

what’s the formula to convert a degree measure to a radian measure?
multiply the degree measure by the conversion factor π/180
what is 1/sinα often denoted by?
cscα
what is 1/cosα often denoted by?
secα
what is cos(90 degrees - α) equal to?
sinα
what is sin(90 degrees - α) equal to?
cosα
what is tan(90 degrees - α) equal to?
cotα
what is cot(90 degrees - α) equal to?
tanα
what is sec(90 degrees - α) equal to?
cscα
what is csc(90 degrees - α) equal to?
secα
the expression ‘i’ is equivalent to?
sqrt(-1)
what’s the formula for the angle theta between two lines with slope m1 & m2?
