1/46
Looks like no tags are added yet.
Name | Mastery | Learn | Test | Matching | Spaced |
|---|
No study sessions yet.
Community ecology
The study of ecological interactions between individuals of two or more species.
Interspecific competition
Competition for resources among individuals of different species.
Resource competition/Exploitative competition
Occurs when individuals of one species more efficiently consume or use up a shared resource, lowering the availability of the resource for individuals of the other species and affecting their fitness.
Interference competition
Individuals directly interact with each other through aggressive behaviour or behavioural displays in order to increase access to a limiting resource.
Fundamental niche
The full range conditions (biotic and abiotic) and resources in which individuals of a species can survive and reproduce.
Realized niche
The niche space that individuals of a species can access in the presence of their competitors.
Competitive exclusion principle
If two species are too similar in their resource use, they cannot coexist at the same time in the same place.
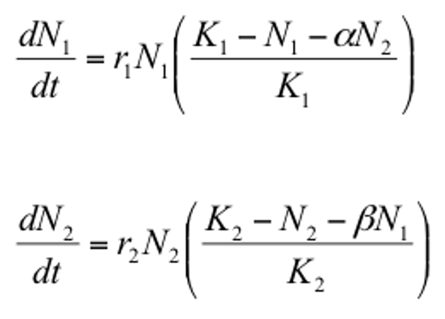
Lotka-Volterra Model
Logistic Growth Model for interspecific competition between two species. Predicts how the population of one species changes depending on its own size and the size of another species it interacts with.

When N is small
The population is much smaller than the carrying capacity K.
When N gets close to K
The population is large and resources are getting scarce.
When N = K
The population reaches carrying capacity.
N1
Population size of species 1.
N2
Population size of species 2.
dN1 / dt
Growth rate of species 1 (how fast it's changing).
r1
Maximum growth rate of species 1.
k1
Carrying capacity of species 1 (its max population without competitors).
αN2
Competition coefficient — how much species 2 affects species 1's growth.
Competition Coefficient
The numeric conversion term in the Lotka-Volterra competition equations that measures how strongly one species affects another's growth -- by converting the competitor's population into equivalent "units"
r2
maximum growth rate of species 2.
K2
Carrying capacity for species 2 (how many it can sustain).
βN1
How much species 1 affects species 2's growth.
Phase-plane graphs
A way to see how two populations interact over time — usually in competition/predator-prey.

Isocline
Represents a place where the change is even or unchanging — a line representing all points where a species has zero population growth on a phase-plane graph.
Resultant vector
A line in a Lotka-Volterra competition or predation model phase-plane graph that indicates the direction in which the population abundances of the two species of interest will move over time.
Stable coexistence
A stable equilibrium point where two species coexist and each species limits its own growth more than it limits the other species. (Intraspecific competition > Interspecific)
Stable equilibrium point
A point of intersection of two species' isoclines on a phase-plane graph. Represents a state where both populations can coexist at constant sizes and return to those sizes after small disturbances
Unstable coexistence
When two species can exist together, but only if perfectly balanced. Imbalance leads to an unstable equilibrium where each species competes more strongly with the other than itself.

Tilman Model
Model explaining how two species compete for two limiting resources. Focuses on resource availability rather than species traits.
Zero Net Growth Isoclines (ZNGIs)
A line (or curve) that shows all combinations of resources where a species' population doesn't grow or shrink.
Above the line (ZNGIs)
Resources are high, leading to species' population growth.
On the line (ZNGIs)
Births equal deaths, resulting in no net growth.
Below the line (ZNGIs)
Resources are too low, causing population shrinkage.
R*
The minimum level of a resource that a species needs to survive, where birth rate equals death rate if that resource were the only one limiting growth.
Below R*
The species can't replace itself, leading to extinction.
Above R*
The species can grow.
Resource Supply Point
The steady amount of resources in a system that is naturally resupplied by the environment before species start using them.
Consumption vector
A line representing the rate at which individuals of a species consume available resources.
Renewal vectors
A line that represents the rate at which resources enter a system.
Resource-ratio hypothesis
States that the coexistence of competitor species depends on the ratio of availability of two critical resources. (Whichever species is better at obtaining the limiting resource wins)
Extinction
The situation when no more individuals of a population or species are present in a location or on Earth.
Ghost of competition past
The idea that past competition between two or more species may have altered resource use and interactions sufficiently that the species no longer compete.
Exclusion
The restriction or removal of individuals of one species from a location by another species.
Sympatry
The coexistence of individuals of two species in the same spatial location.
Allopatry
When two populations or species are geographically separated so they don't overlap in space.
Character displacement
When two similar species evolve to become more different from each other to reduce competition.
Resource partitioning
The splitting of limited resources among individuals of two competing species.
Niche shift
An alteration in the way individuals of a species use resources in the presence of a competitor species.