1/19
Looks like no tags are added yet.
Name | Mastery | Learn | Test | Matching | Spaced |
|---|
No study sessions yet.
What is the purpose of statistical inference?
obtain information about a population from information contained in a sample.
What is a population?
set of all elements of interest.
What is a sample?
subset of the population —> e.g. S&P 500 or the FTSE 100 indices are sample of stocks.
What is one advantage and one disadvantage of sampling from population?
easier and more efficient.
It is sometimes very costly or simply not possible
Why random sampling?
to avoid biases
allows us to use probability to make inferences about unknown population parameters (such as mean and variance)
What is point estimation?
used to estimate an unknown valued (called a population parameter) by using a single number calculated from sample data.
What does point estimator mean?
the statistic used to estimate a population parameter. We refer to:
x as the point estimator of the population mean µ.
SX as the point estimator of the population standard deviation σ.
pˆ as the point estimator of the population proportion p.
What is the point estimate?
The numerical value we get when apply the estimator to the actual sample data.
What is the estimation error?
difference between the point estimate and the true
population parameter we are trying to estimate.
When a point estimator equals the population parameter
point estimator is unbiased.
What is a sampling error?
result of basing an inference on a random sample
rather than on the entire population.
Formulas for calculating sample mean, SD & proportion

Sample mean value of random variables is defined as:

What are the expected value and variance of sample mean?

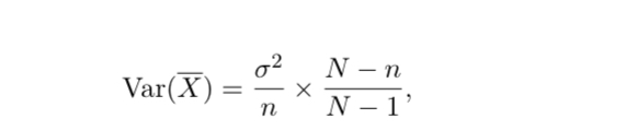
What happens if the sample size, n, isn’t a small fraction of the population size, N?
the individual sample members are not distributed independently of one another.
observations are not selected independently.

What is this term called? (N-n)/(N-1)
finite population correction factor.
What does the Central Limit Theorem (CLT) state?
the mean of a random sample, will be approximately normally distributed with mean µ and variance σ2/n, given a large-enough sample size.
What does the law of large numbers conclude?
given a random sample of size n from a population, the sample mean will approach the population mean as the same size n becomes large
Formula for sample proportion

What does a high variance for a process imply?
wider range of possible values