Histamine and First-Generation Antihistamines

0.0(0)
studied byStudied by 0 people
0.0(0)
full-widthCall with Kai
GameKnowt Play
New
learnLearn
examPractice Test
spaced repetitionSpaced Repetition
heart puzzleMatch
flashcardsFlashcards
Card Sorting

1/31

encourage image

There's no tags or description

Looks like no tags are added yet.

Study Analytics
Name
Mastery
Learn
Test
Matching
Spaced

No study sessions yet.

32 Terms

1
New cards

Histamine

Biogenic amine produced from the AA histidine

In invertebrates, it acts as a NT and is involved in vision and sensing

In vertebrates, it plays a role in modulating immunity and gastric function

<p>Biogenic amine produced from the AA histidine </p><p>In invertebrates, it acts as a NT and is involved in vision and sensing</p><p>In vertebrates, it plays a role in modulating immunity and gastric function</p>
2
New cards

histamine biosynthesis

Humans lack the enzymes to make histidine denote, so we must get it from our diets

HDC (histidine decarboxylase) converts histidine → histamine

Once produced, histamine is stored at the target tissue and cells

Histamine production can. Be increased. By expression of more HDC enzymes

<p>Humans lack the enzymes to make histidine denote, so we must get it from our diets</p><p>HDC (histidine decarboxylase) converts histidine → histamine</p><p>Once produced, histamine is stored at the target tissue and cells </p><p>Histamine production can. Be increased. By expression of more HDC enzymes</p>
3
New cards

Full mechanism of histamine synthesis

knowt flashcard image
4
New cards

histamine tautomerization

Exists in two tautomeric forms (Nt - protonated at N3. And

Npi - protonated at N1)

Under physiological conditions, the Nt tautomer (monocation) is the predominant form

Tautomerization allows histamine to selectively target different H-receptors

<p>Exists in two tautomeric forms (Nt - protonated at N3. And </p><p>Npi - protonated at N1)</p><p>Under physiological conditions,  the Nt tautomer (monocation) is the predominant form</p><p>Tautomerization allows histamine to selectively target different H-receptors</p>
5
New cards

Histamine metabolism

knowt flashcard image
6
New cards

Histamine receptor distribution: H1

Smooth muscle, endothelium, brain

7
New cards

Histamine receptor distribution: H2

Gastric mucosa (gastric parietal cells), cardiac muscle, mast cells, brain

8
New cards

Histamine receptor distribution: H3

Presynaptic autoreceptors and heteroreceptors, brain, myenteric plexus, other neurons

9
New cards

Histamine receptor distribution: H4

Eosinophils, neutrophils, mast cells, CD4 T-cells

10
New cards

Effects of histamine: Lungs

Effect: bronchoconstriction

Clinical manifestation: asthma-like symptoms

Receptor: H1

11
New cards

Effects of histamine: Vascular smooth muscle

Effect: Postcapillary venule dilation, terminal arterials dilation, venoconstriction

Clinical manifestation: erythema

Receptor: H1

12
New cards

Effects of histamine: vascular endothelium

Effect: contraction and separation of endothelial cells

Clinical manifestation: edema, wheal response

Receptor: H1

13
New cards

Effects of histamine: Peripheral nerves

Effect: sensitization of afferent nerve terminals

Clinical manifestation: itch, pain

Receptor: H1

14
New cards

Effects of histamine: heart

Effect: minor increase in contractility and HR

Clinical manifestation: minor

Receptor: H2

15
New cards

Effects of histamine: Stomach

Effect: Increased gastric acid secretion

Clinical manifestation: PUD, heartburn

Receptor: H2

16
New cards

Effects of histamine: CNS

Effect: neurotransmitter

Clinical manifestation: circadian rhythms, wakefulness

Receptor: H3

17
New cards

1st gen antihistamines: basic structure

knowt flashcard image
18
New cards

Ethanolamine H1 antihistamines: Diphenhydramine (Benadryl)

knowt flashcard image
19
New cards

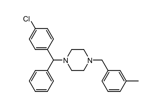
Ethanolamine H1 antihistamines: Clementine (Taoist)

knowt flashcard image
20
New cards

Ethanolamine H1 antihistamines: Doxylamine (unisom, SleepTabs)

Also formulated with pyridoxine (for use in pregnancy) for sleep and morning sickness (Diclegis, Bonjesta)

<p>Also formulated with pyridoxine (for use in pregnancy) for sleep and morning sickness (Diclegis, Bonjesta)</p>
21
New cards

H1 antihistamines: adverse effects

H1 mediated: decreased NT in the CNS, increased sedation, decreased cognitive and psychomotor performance, increased appetite

Muscarinic mediated: increased dry mouth, urinary retention, and sinus tachycardia (anticholinergic effects)

Alpha adrenergic mediated: hypotension, dizziness, reflex tachycardia

Serotonin receptor mediated: increased appetite

Cardiac-ion channel mediated: prolonged QT intervals, sometimes resulting in ventricular arrhythmias

22
New cards

Preventing drowsiness with H1 antihistamines

To prevent the sedating side effects, diphenhydramine is often formulated as a salt with 8-chlorotheophylline, a mild stimulant

<p>To prevent the sedating side effects, diphenhydramine is often formulated as a salt with 8-chlorotheophylline, a mild stimulant</p>
23
New cards

Ethylenediamines: Pyrilamine (mepyramine)

Introduced in the late 1940s for Tx allergy symptoms

Readily crosses BB and causes significant sedation, so it was repurposed as an OTC sleep aid in the 60-70s

Banned as a sleep aid by the FDA in 1989

Still used for Tx cold and menstrual symptoms (Midol complete)

<p>Introduced in the late 1940s for Tx allergy symptoms</p><p>Readily crosses BB and causes significant sedation, so it was repurposed as an OTC sleep aid in the 60-70s</p><p>Banned as a sleep aid by the FDA in 1989</p><p>Still used for Tx cold and menstrual symptoms (Midol complete)</p>
24
New cards

Piperazines: meclizine

Targets H1 receptors at the vestibular nuclei and the vomiting center of the brain in particular, allowing better Tx of vestibular symptoms

Tx and prevention of N/V caused by motion sickness and vertigo

T ½ = 6h (suitable for acute use)

<p>Targets H1 receptors at the vestibular nuclei and the vomiting center of the brain in particular, allowing better Tx of vestibular symptoms</p><p>Tx and prevention of N/V caused by motion sickness and vertigo</p><p>T ½ = 6h (suitable for acute use)</p>
25
New cards

Piperazines: Hydroxyzine

Tx anxiety, pruritis, and is used as a sedative

T ½ = 20h

Different salt formulations are used to change the onset of the drug

Metabolized to cetirizine in the liver

<p>Tx anxiety, pruritis, and is used as a sedative</p><p>T ½ = 20h</p><p>Different salt formulations are used to change the onset of the drug</p><p>Metabolized to cetirizine in the liver</p>
26
New cards

Alkyl amines: Chlorpheniramine

Tx cold, flu, allergy OTC

T ½ = 20h (lower susceptibility to CYP metabolism compared to brompheniramine)

<p>Tx cold, flu, allergy OTC</p><p>T ½ = 20h (lower susceptibility to CYP metabolism compared to brompheniramine)</p>
27
New cards

Alkyl amines: brompheniramine

Tx cold, flu, allergies OTC

T ½: 12-16h

Shorter half-life makes it more suitable for pediatric formulations

<p>Tx cold, flu, allergies OTC</p><p>T ½: 12-16h</p><p>Shorter half-life makes it more suitable for pediatric formulations</p>
28
New cards

Alkyl amines: Triprolidine

Tx of acute allergic symptoms and common cold

Shorter acting compared to other alkyl amine H1-antihistamines (3-5h) due to reactivity of olefin group

Only one isomer has affirm towards H1 receptor

<p>Tx of acute allergic symptoms and common cold</p><p>Shorter acting compared to other alkyl amine H1-antihistamines (3-5h) due to reactivity of olefin group</p><p>Only one isomer has affirm towards H1 receptor</p>
29
New cards

Tricyclic H1 Antihistamines: promethazine

Phenothiazine derivative

Tx allergic conditions and motion sickness

Strong antiemetic effects due to blockage of dopamine and muscarinic AChR

Readily crosses BBB and has sedative properties

IV admin can cause severe tissue damage and gangrene due to its caustic nature

30
New cards

Tricyclic H1 Antihistamines: Cyproheptadine

Piperidine derivative

5-HT2 receptor agonist in addition to H1 receptor activity

Tx allergic rhinitis, appetite stimulant

Tablet or oral solution

<p>Piperidine derivative</p><p>5-HT2 receptor agonist in addition to H1 receptor activity</p><p>Tx allergic rhinitis, appetite stimulant</p><p>Tablet or oral solution</p>
31
New cards

Tricyclic H1 Antihistamines: ketotifen

Piperidine derivative

Mast cell stabilizer in addition to H1 receptor activity

Tx allergic conjunctivitis and asthma prophylaxis

Ophthalmic solution

<p>Piperidine derivative</p><p>Mast cell stabilizer in addition to H1 receptor activity</p><p>Tx allergic conjunctivitis and asthma prophylaxis</p><p>Ophthalmic solution</p>
32
New cards

Tricyclic H1 antihistamines: Doxepin

Dibenzoxepin derivative

Oral tablets, topical cream

When taken orally, used as a tricyclic antidepressant, which is also a strong H1 receptor inhibitor

Preferred in cases with insomnia or need for sedation

Used Tx pruritus associated with skin conditions like eczema

Use care in older adults due to risk of oversedation

<p>Dibenzoxepin derivative</p><p>Oral tablets, topical cream</p><p>When taken orally, used as a tricyclic antidepressant, which is also a strong H1 receptor inhibitor</p><p>Preferred in cases with insomnia or need for sedation</p><p>Used Tx pruritus associated with skin conditions like eczema </p><p>Use care in older adults due to risk of oversedation</p>