BIOL 355: Ecology - Population Ecology

0.0(0)
studied byStudied by 0 people
0.0(0)
full-widthCall with Kai
GameKnowt Play
New
learnLearn
examPractice Test
spaced repetitionSpaced Repetition
heart puzzleMatch
flashcardsFlashcards
Card Sorting

1/14

encourage image

There's no tags or description

Looks like no tags are added yet.

Study Analytics
Name
Mastery
Learn
Test
Matching
Spaced

No study sessions yet.

15 Terms

1
New cards

Endemic species

species that live in a single, often isolated, location

2
New cards

Cosmopolitan species

species with very large geographic ranges that can span several continents

3
New cards

Population size is estimated (mark-recapture) by assuming that

see pic

<p>see pic</p>
4
New cards

Dispersion

spacing of individuals within a given area

5
New cards

Ideal free distribution

when individuals distribute themselves among different habitats in a way that allows them to have the same per capita benefit; assumes perfect knowledge of habitat variation

6
New cards

Dispersal

movement of individuals from one area to another

7
New cards

Lifetime dispersal distance

the average distance an individual moves from where it was born to where it reproduces

8
New cards

Dispersal limitation

the absence of a population from suitable habitat because of barriers to dispersal

9
New cards

Habitat corridor

a strip of favorable habitat located between two large patches of habitat that facilitates dispersal (e.g., a narrow band of trees that connects forests)

10
New cards

Exponential growth model equations

see pic

<p>see pic</p>
11
New cards

Geometric growth model equations

see pic

<p>see pic</p>
12
New cards

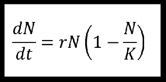
Logistic growth model equations

see pic

<p>see pic</p>
13
New cards

Inflection point

the point on a sigmoidal growth curve at which the population has its highest growth rate

14
New cards

Cohort Life Tables

Marked individuals continuously tracked over their lives

15
New cards

Static Life Tables

Considers survival and fecundity of all ages in a single time period