1/16
Looks like no tags are added yet.
Name | Mastery | Learn | Test | Matching | Spaced |
|---|
No study sessions yet.
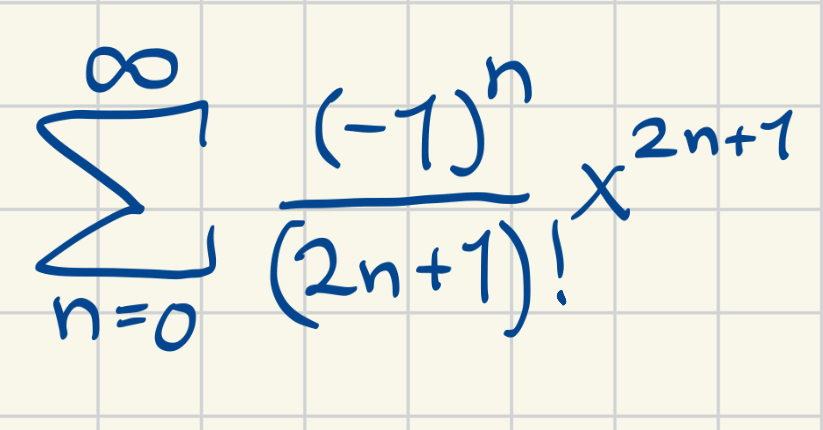
sinx power series

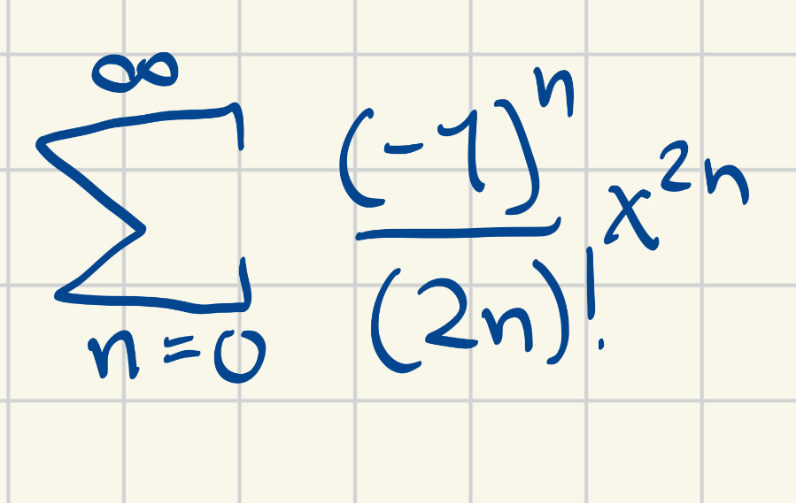
cosx power series

1/1+x power series

e^x power series

divergence test

geometric series test

p-series test

integral test

ratio test

limit comparison test

comparison test

ratio test is inconclusive if
lim = 1
ratio test converges if
lim is less than 1
what elliot needs to justify for the integral test
the function is decreasing
p series converges when
p > 1
root test
