1/77
Looks like no tags are added yet.
Name | Mastery | Learn | Test | Matching | Spaced |
|---|
No study sessions yet.
Differentiequotiënt meetkundig
De richtingscoëfficiënt van de rechte lijn (koorde) pq door de punten p(a – f(a)) en q(a+h – f(a+h)) • Formule: [f(a+h) – f(a)]/h
Afgeleide meetkundige betekenis
De richtingscoëfficiënt van de raaklijn aan de kromme y=f(x) in het punt (a – f(a)) (Illustratie aanbevolen)
Horizontale raaklijn
Treedt op als de afgeleide in een punt nul is • f'(a) = 0 • Vaak bij een lokaal extremum (Illustratie aanbevolen)
Verticale raaklijn
Treedt op als de afgeleide in een punt oneindig is • f'(a) = ∞ (Illustratie aanbevolen)
Verband afleidbaarheid en continuïteit
Als een functie f afleidbaar is in een punt a – dan is f ook continu in a • De omgekeerde stelling geldt niet
Sterkere eis: afleidbaarheid of continuïteit?
Afleidbaarheid is een grotere eis dan continuïteit • Een functie kan continu zijn zonder afleidbaar te zijn
Voorbeeld continu maar niet afleidbaar
De functie y = |x| is continu in het punt 0 – maar niet afleidbaar in 0 omdat de linker- en rechterafgeleide verschillen
Stelling van Fermat
Als f afleidbaar is in c en een lokaal extremum (maximum of minimum) bereikt in c – dan is de afgeleide in c gelijk aan nul (f'(c)=0) (Illustratie aanbevolen)
Stelling van Rolle
Voorwaarde: f continu over [a – b] en afleidbaar over ]a – b[ met f(a) = f(b) • Gevolg: er bestaat een c in ]a – b[ waarvoor f'(c) = 0 (Illustratie aanbevolen)
Betekenis Stelling van Rolle
Als een continue en afleidbare functie dezelfde functiewaarde heeft in twee punten – dan moet er minstens één punt tussenin zijn met een horizontale raaklijn
Kettingregel

Afgeleide inverse functie

Afgeleide van constante k
(k)' = 0
Afgeleide van sin(x)
(\sin x)' = \cos x
Afgeleide van tg(x)
(\tg x)' = \frac{1}{\cos^2 x}
Afgeleide van Bgsin(x)
(\text{Bgsin } x)' = \frac{1}{\sqrt{1-x^2}}
Afgeleide van Bgcotg(x)
(\text{Bgcotg } x)' = \frac{-1}{1+x^2}
Afgeleide van e^x
(e^x)' = e^x
Afgeleide van ln(x)
(\ln x)' = \frac{1}{x}
Afgeleide van sh(x)
(\text{sh } x)' = \text{ch } x
Afgeleide van th(x)
(\text{th } x)' = \frac{1}{\text{ch}^2 x}
Afgeleide van cos(x)
(\cos x)' = -\sin x
Afgeleide van cotg(x)
(\text{cotg } x)' = \frac{-1}{\sin^2 x}
Afgeleide van Bgcos(x)
(\text{Bgcos } x)' = \frac{-1}{\sqrt{1-x^2}}
Afgeleide van Bgtg(x)
(\text{Bgtg } x)' = \frac{1}{1+x^2}
Afgeleide van a^x
(a^x)' = (\ln a) a^x
Afgeleide van log_a(x)
(\log_a x)' = \frac{1}{(\ln a) x}
Afgeleide van ch(x)
(\text{ch } x)' = \text{sh } x
Afgeleide van coth(x)
(\text{coth } x)' = \frac{-1}{\text{sh}^2 x}



Formule kromming k
k = \frac{y''}{(1 + y'^2)^{3/2}}

Formule kromtestraal R
R = \frac{(1 + y'^2)^{3/2}}{|y''|}

Hoek φ tussen krommen K1 en K2
De hoek tussen de raaklijnen T1 en T2 in een snijpunt p
\tg \varphi = \frac{(y'_2)_p - (y'_1)_p}{1 + (y'_1)_p (y'_2)_p}



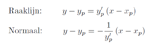
Vergelijking raaklijn in punt p(xp – yp)
y - y_p = y'_p (x - x_p)

Vergelijking normaal in punt p(xp – yp)
y - y_p = -\frac{1}{y'_p} (x - x_p)

1) Vervang een stuk door t
2) bereken dt = d(t) * dx —> dx = …/dt
3) dx invullen
4) bereken vereenv integraal, vul daarna pas de t terug in
Partiële integratie formule
Voor afleidbare f en g geldt ∫f(x) g'(x) dx = f(x) g(x) - ∫f'(x) g(x) dx
∫ f g ′ = f g − ∫ f ′ g
1) kies f en g'
2) bereken f' en g
3) pas formule toe
4) bereken overgebleven integraal
Stappenplan partiële integratie
Herken een product in de integraal (\int f(x)g'(x),dx).
Kies (f) als de factor die eenvoudiger wordt na differentiëren.
Kies (g') als de factor die je gemakkelijk kan integreren om (g) te vinden.
Bereken (f') en (g).
Gebruik de formule
∫ f g ′ = f g − ∫ f ′ g
Los de nieuwe integraal (\int f'(x) g(x),dx) op (meestal eenvoudiger dan de oorspronkelijke).
De integraal van x^n dx
De integraal van e^x dx
De integraal van 1/x dx
De integraal van a^x dx
\int a^x dx = \frac{a^x}{\ln a} + C als a ∈ R^+₀ \ {1}
De integraal van 1/√(a^2 - x^2) dx
De integraal van 1/√(x^2 + b) dx
De integraal van 1/(x^2 + a^2) dx
De integraal van 1/(x^2 - a^2) dx
De integraal van sin x dx
\int \sin x \
De integraal van cos x dx
\int \cos x \
De integraal van 1/cos^2 x dx
De integraal van 1/sin^2 x dx
De integraal van sh x dx
\int \text{sh} x \
De integraal van ch x dx
\int \text{ch} x \
De integraal van 1/ch^2 x dx
De integraal van 1/sh^2 x dx
Wat is de integraal voor de OPPERVLAKTE VAN EEN VLAK GEBIED
(POOLKROMMEN)
S=\frac{1}{2}\int_{\theta1}^{\theta_2}r^2{}d(\theta)

Wat is de integraal voor de OPPERVLAKTE VAN EEN VLAK GEBIED
(PARAMETERKROMMEN)

OPPERVLAKTE VAN EEN meervoudig VLAK GEBIED
(POOLKROMMEN)

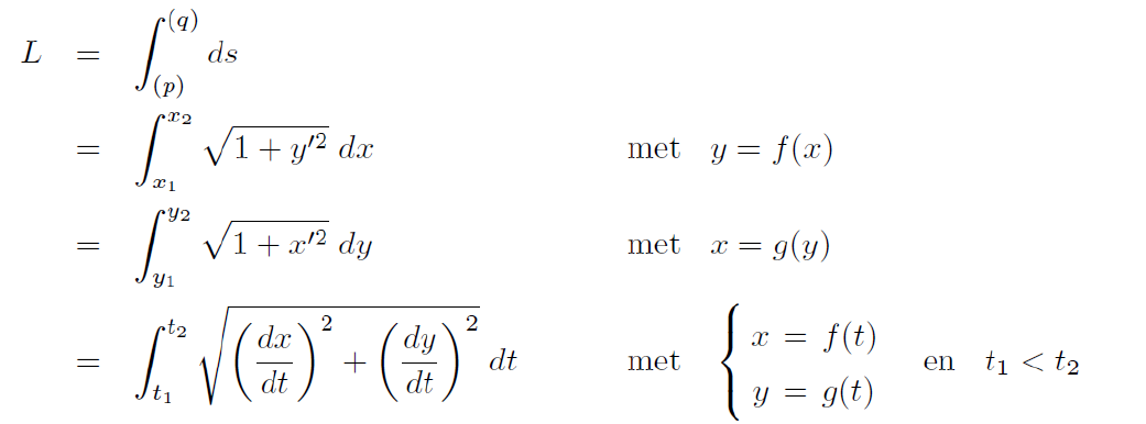
wat is de integraal voor de BOOGLENGTE VAN EEN VLAKKE KROMME (cartesisch)

wat is de integraal voor de BOOGLENGTE VAN EEN VLAKKE KROMME (poolcoordinaten)

wat is de integraal voor een VOLUME VAN EEN OMWENTELINGSFIGUUR (schijfmethode)

wat is de integraal voor een VOLUME VAN EEN OMWENTELINGSFIGUUR (schilmethode)

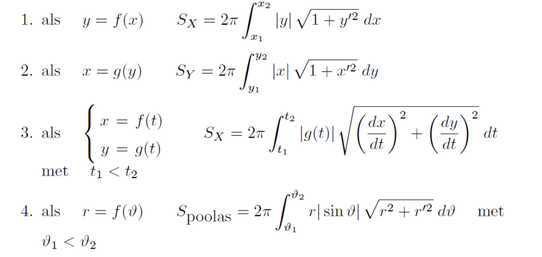
wat zijn de integraln voor de ZIJDELINGSE OPPERVLAKTE VAN EEN
OMWENTELINGSFIGUUR

Wat zijn de integralen voor TRAAGHEIDSMOMENT / STATISCH MOMENT

Wat is de integraal voor het ZWAARTEPUNT VAN EEN HOMOGENE BOOG

Stelling 1 van Guldin

Stelling 2 van Guldin
