Y2 trigonometry

0.0(0)
studied byStudied by 0 people
full-widthCall with Kai
GameKnowt Play
learnLearn
examPractice Test
spaced repetitionSpaced Repetition
heart puzzleMatch
flashcardsFlashcards
Card Sorting

1/5

encourage image

There's no tags or description

Looks like no tags are added yet.

Study Analytics
Name
Mastery
Learn
Test
Matching
Spaced

No study sessions yet.

6 Terms

1
New cards

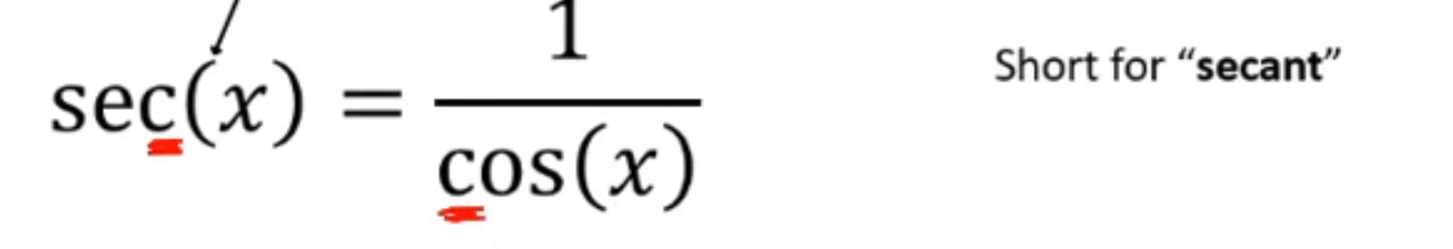
What is the reciprocal function of cos(x)

1/cos(x) = sec (x)

<p>1/cos(x) = sec (x)</p>
2
New cards

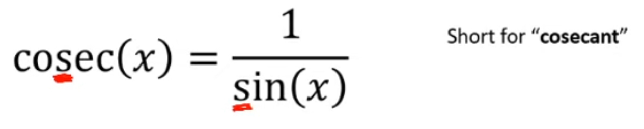
What is the reciprocal function of sin(x)?

1/sin(x) = cosec(x)

<p>1/sin(x) = cosec(x)</p>
3
New cards

What is the reciprocal function of tan(x)?

1/tan(x) = cot (x)

<p>1/tan(x) = cot (x)</p>
4
New cards

What are the reciprocals of reciprocals trigonometric functions?

<p></p>
5
New cards

What are the exact values of trigonometric functions

knowt flashcard image
6
New cards

What does sin