 Call Kai
Call Kai Learn
Learn Practice Test
Practice Test Spaced Repetition
Spaced Repetition Match
Match1/19
Looks like no tags are added yet.
| Name | Mastery | Learn | Test | Matching | Spaced | 
|---|
No study sessions yet.
Hydrohalogenation
Reagents:
HX (Br, Cl, I)
Hydrohalogenation
Reagents:
HBr, ROOR
Acid Catalyzed Hydration
Reagents:
H3O+ (ie. H2SO4)
Hydroboration Oxidation
Reagents:
1. BH3THF
2. H2O2, NaOH
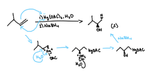
Oxymercuration-Demurcuration
Reagents:
1. Hg(OAc)2, H2O
2. NaBH4
Acid-Catylized Addition of an Alcohol
Reagents:
H+ (usually H2SO4), ROH
Alkomercuration-Demercuration
Reagents:
1. Hg(OAc)2, ROH
2. NaBH4
Catalytic Hydrogentation
Reagents:
H2/Catalyst (Catalyst=Pt, Pd, Ni)
Halogenation
Reagents:
X2/Inert Solvent (X=Br, Cl) (inert solvent= CCl4, CH2Cl2)
Halohydrin Formation
Reagents:
X2/H2O
Halohydrin Formation
Reagents:
X2/ROH
Hydrohalogenation
What mechanism is this?

Acid Catalyzed Hydration
What mechanism is this?

Oxymercuration-Demercuration
What mechanism is this?

Hydroboration Oxidation
What mechanism is this?

Acid-Catylized Addition of an Alcohol
What mechanism is this?

Alkoxymercuration-Demercuration
What mechanism is this?

Catalytic Hydrogenation
What mechanism is this?

Halogenation
What mechanism is this?

Halohydrogen Formation
What mechanism is this?
