1/21
Looks like no tags are added yet.
Name | Mastery | Learn | Test | Matching | Spaced |
|---|
No study sessions yet.
calculator matrix
2nd matrix, edit, #’s, 2nd quit, 2nd matrix, (b) rref(), 2nd matrix [a]
Diagonial on matrix
Normal 3 solutions
0000 matrix
Infinite solutions
000#
No solution
In most word problems the third equation should be equal to 0
True
Shade above
> / underlined >
Shade below
<\ underlined <
Absoloute value
2nd window + flip sign of number thats equal to ex. 7\-7 >7/<-7
If the > is underlined and closed the number line dot
Is filled in and use brackets
If the > is not underlined the numberline dot should
Be open and use ()
#(x+#)-#
Front # is stretch/ compression or reflection, x+# is oppisite sign and is left/right, -# is up/down
How do you complete the square
X2+x#+___=#+___ (dont flip sign)
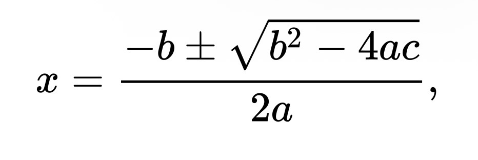
Quadratic formula

Calc for quadratic applications
Stat edit, enter #’s, stat calc 5., alpha trace y1
Even degree end behavior
As x —- -infinity f(x) —— infinity
As x ——- infinity f(x) ——infinity
Odd end behavior
As x ——- -infinity f(x)——- - infinity
As x ——— infinity f(x) ———- infinity
Odd v. Even end behavior
Odd - f(x) is diffrent
Even- f(x) is the same
When looking at equations how do you determine end behavior
Look for the highest exponent value and determine if its odd or even