Amino Acids: One Letter Abbreviations

0.0(0)
studied byStudied by 0 people
0.0(0)
full-widthCall Kai
learnLearn
examPractice Test
spaced repetitionSpaced Repetition
heart puzzleMatch
flashcardsFlashcards
GameKnowt Play
Card Sorting

1/19

encourage image

There's no tags or description

Looks like no tags are added yet.

Study Analytics
Name
Mastery
Learn
Test
Matching
Spaced

No study sessions yet.

20 Terms

1
New cards
term image

G

2
New cards
term image

A

3
New cards
term image

V

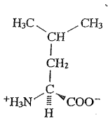
4
New cards
<p></p>

L

5
New cards
term image

I

6
New cards
term image

F

7
New cards
term image

Y

8
New cards
term image

W

9
New cards
term image

M

10
New cards
term image

C

11
New cards
term image

S

12
New cards
term image

T

13
New cards
term image

R

14
New cards
<p></p>

K

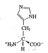
15
New cards
term image

H

16
New cards
term image

P

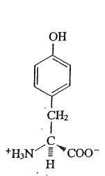
17
New cards
term image

E

18
New cards
term image

D

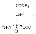
19
New cards
term image

Q

20
New cards
term image

N