1/83
Looks like no tags are added yet.
Name | Mastery | Learn | Test | Matching | Spaced |
|---|
No study sessions yet.
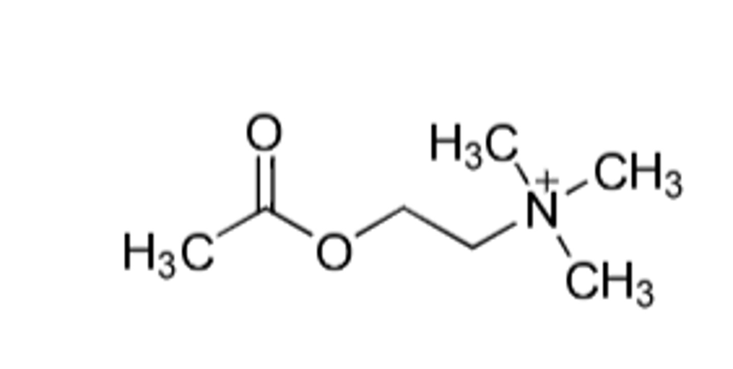
acetylcholine

norepinephrine (R=H)
epinephrine (R=CH3)

dopamine

serotonin

histamine

GABA

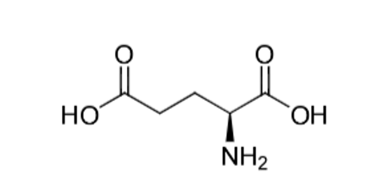
glutamate

caffeine

theophylline

theobromine

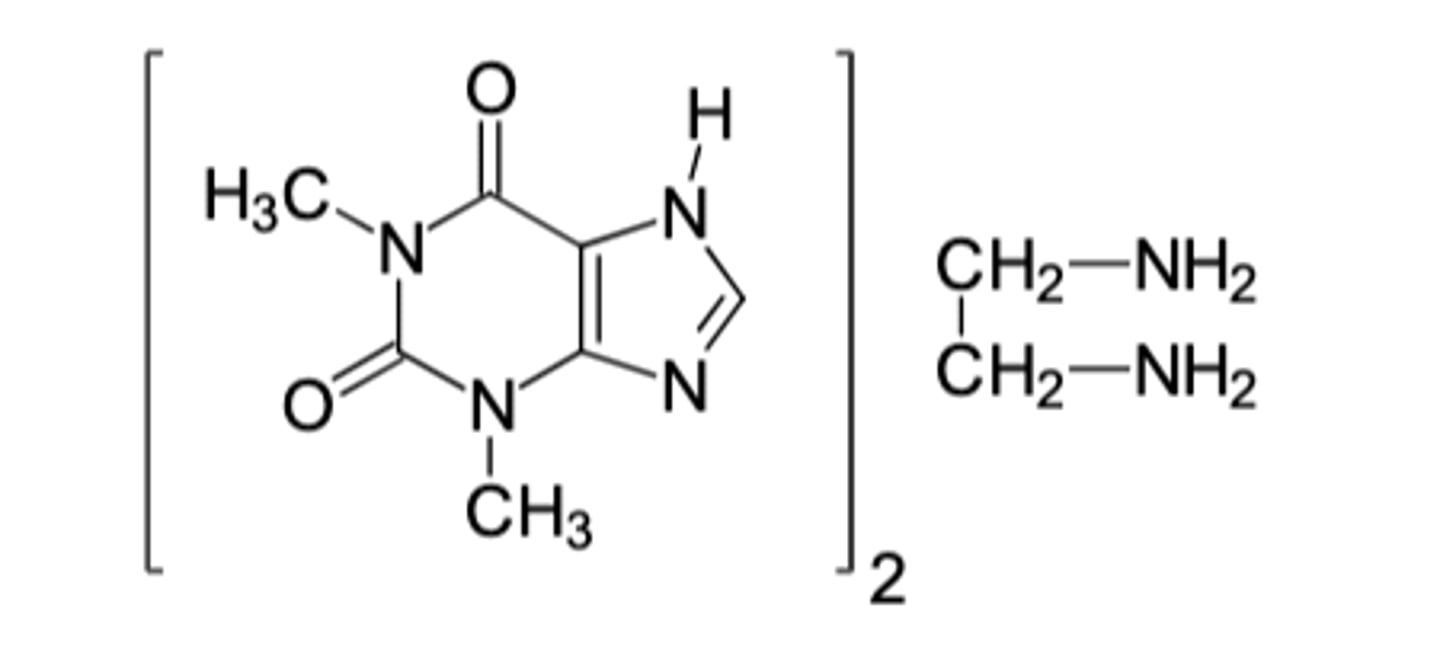
aminophylline

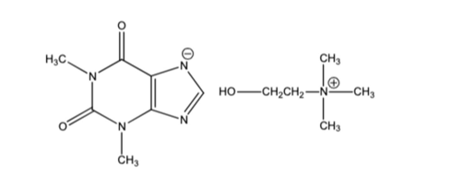
oxtriphylline

panabrom

dyphylline

doxapram

modafinil

pitolisant

solriamfetol

sodium oxybate

amphetamine

methamphetamine

phentermine

benzphetamine

diethylpropion

phendimetrazine

orlistat

methylphenidate

dexmethylphenidate

serdexmethylphenidate

lisadexamfertamine

atomoxetine

viloxazine

phenelzine

isocarboxazid

tranylcypromine

selegiline

rasagiline

imipramine

desipramine

trimipramine

clomipramine

amitriptyline

nortryptyline

protrypyline

doxepin

amoxapine

maprotiline

mirtazapine

fluoxetine

paroxetine

sertraline

fluvoxamine

citalopram

escitalopram

duloxetine

venlafaxine

levomilnacipram

trazadone

nefazodone

vilazodone

vortioxetine

buproprion

sumatriptan

frovatriptan

eletriptan

naratriptan

rizatriptan

zolmitriptan

almotriptan

lasmiditan

ubrogepant

atogepant

rimegepant

zavegepant

ondansentron

palonosetron

granisetron

alosetron

aprepitant

rolapitant

netupitant

fosnetupitant

dronabinol

metoclopramide
