1/13
Looks like no tags are added yet.
Name | Mastery | Learn | Test | Matching | Spaced | Call with Kai |
|---|
No analytics yet
Send a link to your students to track their progress
what type of letters are used for random variables (the whole distribution of outcomes)?
capital letters (usually X or Y)
what are lower case letters used for?
a particular value of the random variable (like x or y)
what is a discrete uniform distribution?
where the probabilities for everything is all equal (e.g rolling a dice)
as usual, what do the sum of all probabilities add to?
1
what are 2 ways u can map outcomes of probabilities (other than graphically)
as a function
or
as a table
on a probability graph, what is on the x axis, and what is on the y axis
x axis = the outcomes (e.g 1,2,3,4,5,6 on a dice)
y axis = probability of that outcome (e.g for a dice would be 1/6)

how can the below thing be written as well sometimes
P(X = x)
p(x)
(both lower capitals)

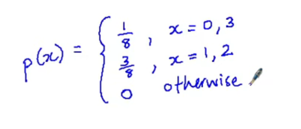
do this but only for the function as am weak

when given a probability function, what is it good practice to do?
turn it into a probability table
if there is an inequality for the probability
e.g P(2X+1>6)
what do u do?
rearrange and solve for x, so that it would become:
P(X>2.5)

do this question, but dont do the one which is crossed out


do this question
when i did this i got what bicen got, but i think he might have done a wrong, as he didnt consider more than 2 spins. not sure

what is the independent formula (in words, no notation)
