1/19
Looks like no tags are added yet.
Name | Mastery | Learn | Test | Matching | Spaced | Call with Kai |
|---|
No study sessions yet.

Glycine (Gly, G); Hydrophobic

Alanine (Ala, A); Hydrophobic

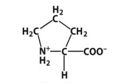
Proline (Pro, P); Hydrophobic

Valine (Val, V); Hydrophobic

Leucine (Leu, L); Hydrophobic

Isoleucine (Ile, I); Hydrophobic

Methoionine (Met, M); Hydrophobic

Tryptophan (Trp, W); Hydrophobic

Phenylalaline (Phe, F); Hydrophobic

Serene (Ser, S); Polar

Threonine (Thr, T); Polar

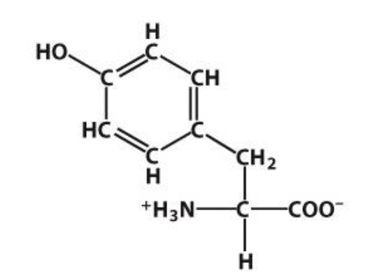
Tyrosine (Tyr, Y); Polar

Asparagine (Asn, N); Polar

Glutamine (Gln, Q); Polar

Cysteine (Cys, C); Polar

Lysine (Lys, K); Positively Charged

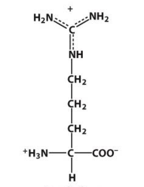
Arginine (Arg, R); Positively Charged

Histidine (His, H); Positively Charged

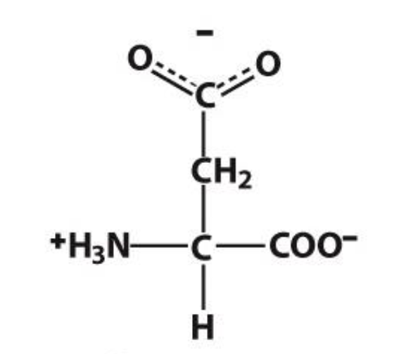
Aspartate (Asp, D); Negatively Charged

Glutamate (Glu, E); Negatively Charged