1/30
Looks like no tags are added yet.
Name | Mastery | Learn | Test | Matching | Spaced |
|---|
No study sessions yet.

the inner product or dot product of two vectors u and v is u • v is
uTv

properties of the inner product
u • v = v • u
(u+v) • w = u • w + v • w
cu • v= c(u•v) = u•cv
u•u >= 0 and u • u = 0 if and only if u =0
the length or norm of v is the nonnegative scalar ||v|| defined by
||v|| = sqrt(v•v) = sqrt(v1² + v2² +….vn² )
||v||2 =
v • v
a vector that has length 1 is called a
unit vector
normalizing the vector: if we divide a vector by its ? we obtain a unit vector that is in the same ? as the original
length, direction

length =
1
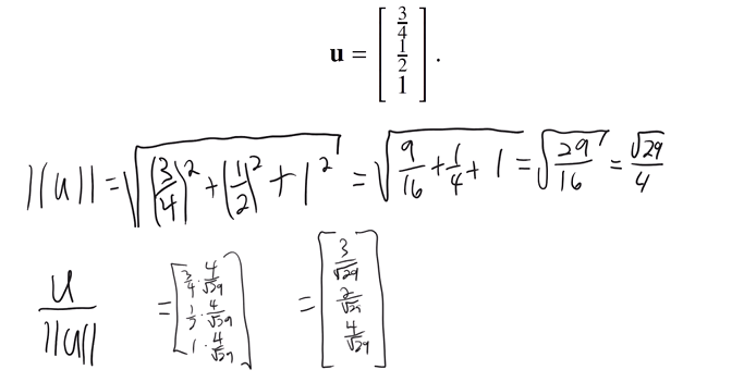
example of finding the unit vector in tge direction of a given vector

the distance between two vectors is
dist(u,v) =
||u-v||
= sqrt(u1 - v1)² + …. (un - vn)²)
vectors u and v are orthoganl to each other if u • v = ?
0
u and v are orthoganal to each other if and only if ||u+v||² = ?
||u||2 + ||v||²
the orthogonal complement of a subspace W is denoted as W⟂ and it is defined as ?
the set of all vectors orthogonal to every vector in W
a vector x is in W⟂ if and only if
x is orthogonal to every vector in the set that spans W and W⟂ is a subspace of Rn
row(A)⟂ = ?
nul(A)
col(A)⟂ =
nul(AT)
this is because the columns of A are the rows of AT
the angle between u and v is defined to be theta and satisfies that u • v = ?
||u||||v||cos(theta)
to find the angle between the two vectors u and v you need to calculate
theta = arccos(u•v/||u||||v||)
angle will always be between 0 and 180 degrees

(T/F) ⋅v⋅v=∥v∥2.
True
(T/F) u⋅v−v⋅u=0.
True
(T/F) If the distance from u to v equals the distance from u to −v, then u and v are orthogonal.
true
(T/F) If ∥u∥2+∥v∥2=∥u+v∥2, then u and v are orthogonal.
True
(T/F) If vectors v1, …, vp, span a subspace W and if x is orthogonal to each vj for j=1,…,p, then x is in W⊥
true
(T/F) If x is orthogonal to every vector in a subspace W then x is in W⊥.
True
(T/F) For any scalar c, ∥cv∥=c∥v∥.
False; the absolute sign is missing
(T/F) For any scalar c, u⋅(cv)=c(u⋅v).
true
(T/F) For a square matrix A, vectors in Col A are orthogonal to vectors in Nul A.
FALSE; counterexample: [ 1 1; 0 0]
(T/F) For an m×n matrix A, vectors in the null space of A are orthogonal to vectors in the row space of A.
true
Let u=(u1, u2, u3). Explain why ⋅u⋅u≥0. When is ⋅u⋅u=0?
Since u ⋅ u is the sum of the squares of the entries in u, u ⋅ u ≥ 0. The sum of squares of numbers is zero if and only if all the numbers are themselves zero.
||u+v||² =
(u+v ) . (u+v )
||u||²
u . u
Show that if x is in both W and W⊥, then x=0.
Suppose that x is in W and W⊥ Since x is in W⊥, x is orthogonal to every vector in W, including x itself. So x ⋅ x = 0, which happens only when x = 0.