1/28
Looks like no tags are added yet.
Name | Mastery | Learn | Test | Matching | Spaced | Call with Kai |
|---|
No analytics yet
Send a link to your students to track their progress
Linjäritet/produktregeln/kvotregeln/kedjeregeln

Pq-formeln

Hur räknar man ut kryssprodukt (normalen) med rule of Sarrus?


Deriveringsreglerna

Normalvektorn av ett plan

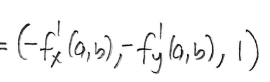
Tangentplanetsekvation


Normallinjen

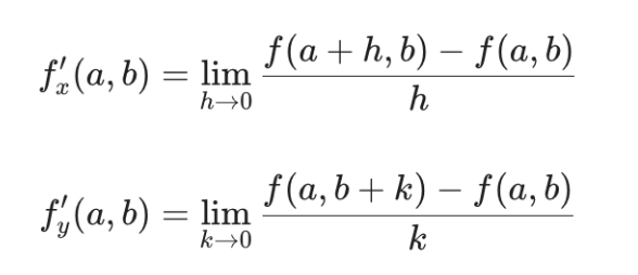
Defintion partiell derivata

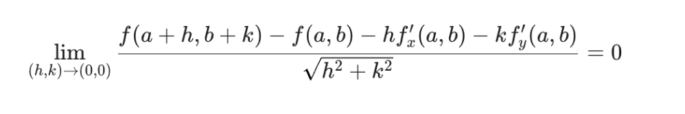
Definition differentierbarhet

Definition jacobimatris

Defintion linjärisering

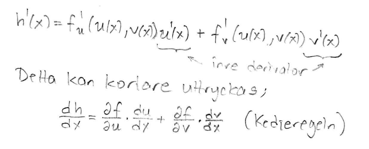
Kedjeregeln/Derivatan av h(x)=f(u(x),v(x))

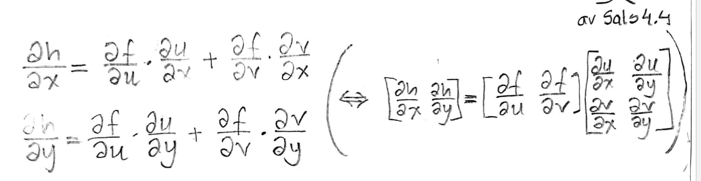
Kedjeregeln för funktioner av flera variabler h(x,y)=f(u(x,y),v(x,y))

Gradienten

Riktningsderivata

Formel riktningsderivata med gradient

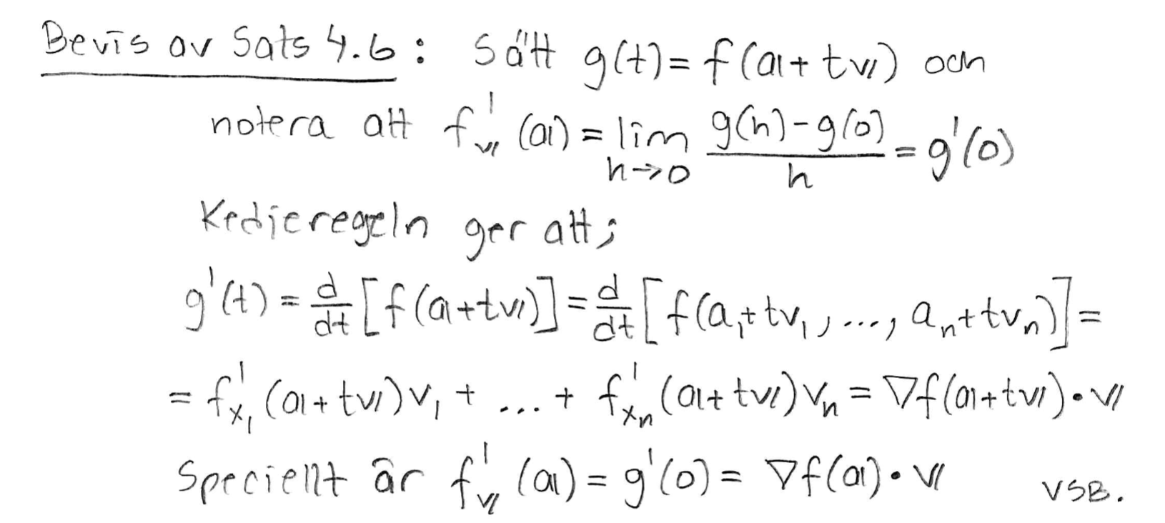
Bevisa f_v’(a) = grad f(a) * v

Definition maximal och minimal riktning och riktningsderivata

Sats 4.8: Gradienten vinkelrät om nivårkurva

Parametriserad kurva

Inversa funktionssatsen

Bevisa satsen som säger att riktningsderivatan är maximal i gradientens riktning

Bevis sats 4.8 Gradienten är vinkelrät mot nivåkurvan

Formeln räkna ut determinant från matris

Formel räkna ut funktionaldeterminanten

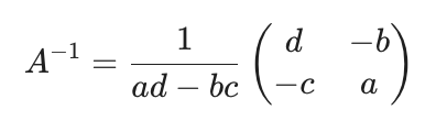
Formeln för att invertera en matris

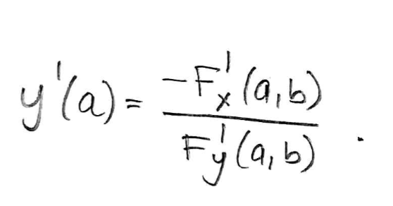
Ekvation implicit derivering

Implicit derivering R3

Funktionaldeterminanten
