Citric Acid Cycle

0.0(0)
studied byStudied by 0 people
0.0(0)
full-widthCall Kai
learnLearn
examPractice Test
spaced repetitionSpaced Repetition
heart puzzleMatch
flashcardsFlashcards
GameKnowt Play
Card Sorting

1/8

encourage image

There's no tags or description

Looks like no tags are added yet.

Study Analytics
Name
Mastery
Learn
Test
Matching
Spaced

No study sessions yet.

9 Terms

1
New cards
term image

citrate

2
New cards
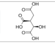
term image

isocitrate

3
New cards
term image

alpha-ketoglutarate

4
New cards
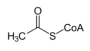
term image

succinyl-CoA

5
New cards
term image

succinate

6
New cards
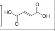
term image

fumarate

7
New cards
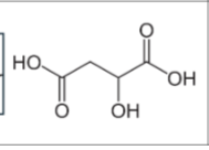
term image

malate 

8
New cards
term image

oxaloacetate 

9
New cards
term image

pyruvate