Formulas: Plane Geometry

0.0(0)
studied byStudied by 0 people
0.0(0)
full-widthCall with Kai
GameKnowt Play
New
learnLearn
examPractice Test
spaced repetitionSpaced Repetition
heart puzzleMatch
flashcardsFlashcards
Card Sorting

1/25

encourage image

There's no tags or description

Looks like no tags are added yet.

Study Analytics
Name
Mastery
Learn
Test
Matching
Spaced

No study sessions yet.

26 Terms

1
New cards

Polygons: Number of Diagonal

<p></p>
2
New cards

Polygons: Interior Angle

<p></p>
3
New cards

Polygons: Area of n-side polygon @ side b

knowt flashcard image
4
New cards

Polygons: Area of n-side polygon @ inscribed in a circle

knowt flashcard image
5
New cards

Polygons: Area of n-side polygon @ circumscribed in a circle

knowt flashcard image
6
New cards

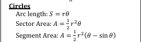
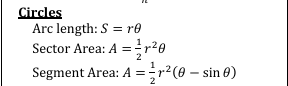
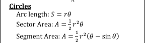
Circle: Arc Length

knowt flashcard image
7
New cards

Circle: Sector Area

knowt flashcard image
8
New cards

Circle: Segment Area

knowt flashcard image
9
New cards

Circle Theorems: Inscribed angle or Tangent & Chord

knowt flashcard image
10
New cards

Circle Theorems: Intersecting Chords

knowt flashcard image
11
New cards

Circle Theorems: Intersecting Secants

knowt flashcard image
12
New cards

Circle Theorems: Tanget and Secant

knowt flashcard image
13
New cards

Triangles: Area

knowt flashcard image
14
New cards

Triangles: Inscribed in a circle

knowt flashcard image
15
New cards

Triangles: Circumscribes a circle

knowt flashcard image
16
New cards

Triangles: Circle tangent to side A

knowt flashcard image
17
New cards

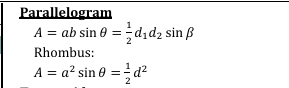
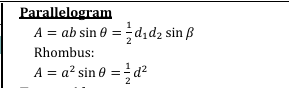
Parallelogram: Area

knowt flashcard image
18
New cards

Parallelogram: Rhombus Area

knowt flashcard image
19
New cards

Trapezoid: Area

knowt flashcard image
20
New cards

Trapezium: Area

knowt flashcard image
21
New cards

Cyclic Quadrilateral: Bramaguptha's Formula

knowt flashcard image
22
New cards

Cyclic Quadrilateral: Ptolemy's Theorem

knowt flashcard image
23
New cards

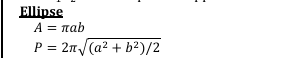
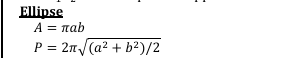
Ellipse: Area

knowt flashcard image
24
New cards

Ellipse: Perimeter or Circumference

knowt flashcard image
25
New cards

Parabolic Segment: Area

knowt flashcard image
26
New cards

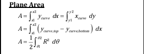
Plane Area

knowt flashcard image