1/6
Looks like no tags are added yet.
Name | Mastery | Learn | Test | Matching | Spaced |
|---|
No study sessions yet.
Theoretical amount of triacylglycerols
number of fatty acids³
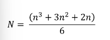
Number of glycerols taken into account the isomers
where n is the number of different fatty acids

Formula expected triacylglycerol composition
Depending on how many different fatty acids are in the triacylglycerol, n can change:
Only one (e.g. LLL): n = 1
Two (e.g. LLO): n = 3
Three (e.g. SLO): n = 6

Molecular weight fatty acids
Number of C
Number of H: 2* number of C -1
+OOH
C + (2*C-1)+OOH
Molecular weight of glycerol (without the three fatty acids)
Three carbons
Three oxygen
Eight hydrogens

Average molecular weight of oil
(Percentage * molecular weight)/(percentages/100)
Iodine value formula
