1/24
Looks like no tags are added yet.
Name | Mastery | Learn | Test | Matching | Spaced |
|---|
No study sessions yet.
What are the three acoustic variables and their units?
1) Pressure units Pa (Pascals)
2) Density (kg/cm3)
3) Distance/particle motion (cm/mm)
Mass per unit of volume is talking about:
Density
The __ __________ __________ tell us whether or not we have a sound wave
3 acoustic variables
After we’ve determined we have a sound wave these are the different ways to describe the wave.
7 acoustic parameters
Define Period
The time it takes for one complete cycle to occur (one compression and one rarefaction)
What are the units for period?
Microseconds (us)
What determines the period (T)? Is it adjustable by the sonographer?
The source; Not adjustable by the sonographer
What is the formula for Period (T)?
T = 1/f
How often an event occurs. This is defining:
frequency
What unit is used for frequency and means “cycles per second”?
Mhz
What determines frequency and is it adjustable by the sonographer?
Determined by the source; not adjustable by sonographer
What is the formula for frequency?
f = 1/T
What is the audible range of sound humans can hear? Anything below this range is known as? Anything above this range is known as?
20Hz - 20,000 Hz
Below 20Hz: Infrasound
Above 20,000 Hz: Ultrasound
Which three parameters are determined by the source and adjustable by the sonographer?
Amplitude, Power and Intensity
The measurement of baseline to peak, baseline to trough or peak to peak is called
Amplitude
What is the unit for power?
Watts
The concentration of energy in a wave is called the:
intensity
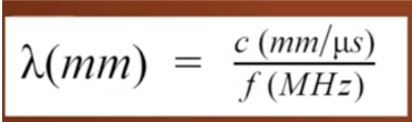
The distance of one cycle of a wave is called the:
wavelength
__________ is determined by both the source and the medium
Wavelength (because the formula includes propagation speed which is determined by the medium, and frequency which is determined by the source)
What is the formula for propagation speed?

What is propagation speed (c ) determined by:
Medium
_________ has a greater effect on speed than density
Stiffness
What is the order of speeds through various mediums (acronym):
“Low Frequency Sounds lag but mediums travel better”
L = lung
F = fat
S = soft tissue: 1540 m/s, 1.54 mm/s, 1.54 km/s
L = liver
B = blood
M = muscle
T = tendon
B = bone
Constructive interference occurs when ___________ waves combine. The resulting wave has a _________ amplitude.
in phase; higher (peak is higher cuz waves combine to make one large wave)
Destructive interference occurs when __________ waves combine. The resulting wave has a _________ amplitude.
out of phase; lower or they cancel each other out