Inverse trig identities

0.0(0)
studied byStudied by 0 people
0.0(0)
full-widthCall Kai
learnLearn
examPractice Test
spaced repetitionSpaced Repetition
heart puzzleMatch
flashcardsFlashcards
GameKnowt Play
Card Sorting

1/5

encourage image

There's no tags or description

Looks like no tags are added yet.

Study Analytics
Name
Mastery
Learn
Test
Matching
Spaced

No study sessions yet.

6 Terms

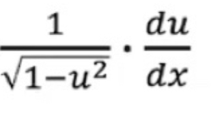
1
New cards

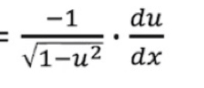
Inverse sin

knowt flashcard image
2
New cards

Inverse cos

knowt flashcard image
3
New cards

Inverse tan

knowt flashcard image
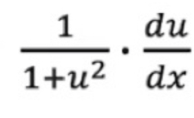
4
New cards

Inverse csc

knowt flashcard image
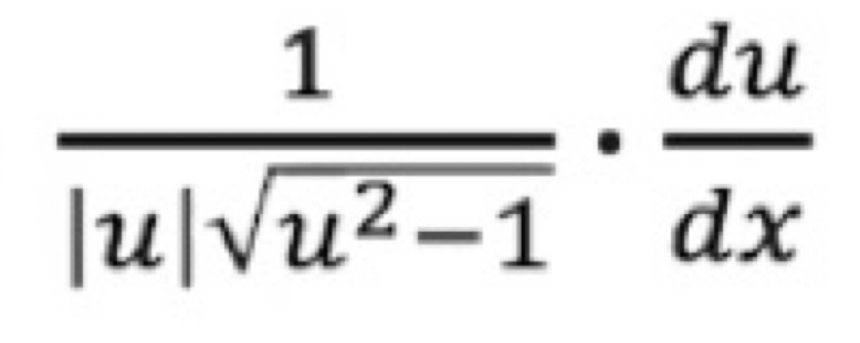
5
New cards

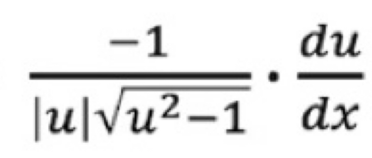
Inverse Sec

knowt flashcard image
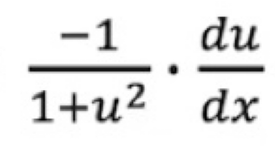
6
New cards

Inverse Cot

knowt flashcard image