1/41
Looks like no tags are added yet.
Name | Mastery | Learn | Test | Matching | Spaced | Call with Kai |
|---|
No analytics yet
Send a link to your students to track their progress
Distance from point to a plane
where Q(x,y,z) any point on the plane

Distance from origin to the plane

Arc Length Formula of a parametric curve

Scalar projection of a onto b
and used to find distance between two points/lines/ maybe planes
find a vector between the two points on a line
then find the normal then do the projection of that vector onto the normal as seen in the image

Maximum height of a projectile formula

Range of a projectile formula

direction of projection
refers to the initial velocity vector of the objec
Can find angle of projection if velocity vector in i and j components is known
draw the diagram out, take tan theta of j/i
Finding time of maximum height
Set Y COMPONENT of velocity vector equals to 0
then substitute the time into the POSITION VECTOR y-component
If need to prove for odd integers use
2k+1
Inductive Hypothesis: Assume P(2k+1)P(2k+1) is true for some odd integer 2k+12k+1.
Inductive Step: Prove P(2k+3)P(2k+3) is true using the assumption for P(2k+1)P(2k+1).
Possible Induction statement
Given 𝑃(𝑘) is true, therefore 𝑃(𝑘 + 1) is true ∀𝑘 ∈ ℤ), therefore by mathematical
induction, 𝑃(𝑛) is true ∀𝑛 ∈ ℤ)
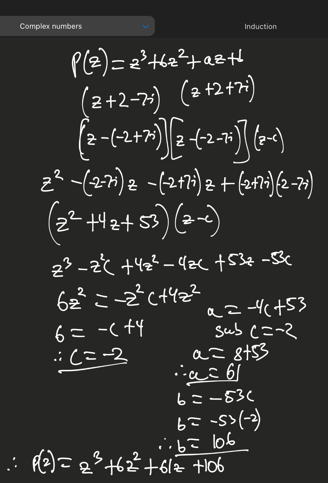
When finding coefficents or third solution to complex polynomials, you can do
(z-c), and then expand with solutions already known
then combine or GROUP like terms if there are mulitple variables, using e.g. z³ or z², z
then compare coefficents to original polynomial and solve for variables
Particle heads to y-direction/x-direction means
means either i or j component will be set to equal 0
what does initial direction mean
it means intial velocity v(o)
u is what?
u is the magnittude of the intial velocity vector
When wanting to factorise complex quadratics
complete the square then but into a²-b² form
Complex polynomial finding solutions and variables working out

Vector Projection formula

definition of skew lines
only in 3d planes, it is when two lines do not intersect or are parallel with each other
Vector equation of a sphere

equation for leslie matrices

leslie matrix formation

circular motion formulas

for complex numbers arg(z), if the angle is above or below the range -pi to pi then do this

Conditions for the function to be circular motion
Not allowed (if you want pure circular motion)
Products of trig functions: cos(ωt)sin(ωt)\cos(\omega t)\sin(\omega t)cos(ωt)sin(ωt)
Squares: cos2(ωt)\cos^2(\omega t)cos2(ωt), sin2(ωt)\sin^2(\omega t)sin2(ωt)
Different frequencies: one term has cos(ωt)\cos(\omega t)cos(ωt), the other sin(2ωt)\sin(2\omega t)sin(2ωt)

geometric interpretation for a system of linear equations with infinite solutions

what is T, omega(w), and f actually mean in circular motion
ω\omegaω tells how fast the angle changes
T tells how long one circle takes
f tells how many circles per second happen
in the formula book for sample means standard deviation what does it actually mean
the standard deviation of the sampling distribution of the sample mean.
If you kept taking lots of different random samples of 15 rats each,
each sample would have its own sample mean (xˉ\bar{x}xˉ),
those means wouldn’t all be exactly 65, they’d vary around the true population mean μ\muμ,
the spread of those sample means is what the SE measures.

sin(theta)

-cos(theta)
If you have a confidence interval, how can you find the sample mean (x bar)
taking the average between the upper and lower bound of the confidence interval
If a question is simply asking you to find a k value using invNorm or find the probability but its worth two marks
there must be two steps, either you have to calculate sample standard deviation, or draw a graph for inv normal representing what ur finding, or do something else


solids of revolution when finding the volume between two curves

elevation angle of 3d vector, angle between x-y plane and vector

angle between two vector equations of a line

in projectile motion the range is
two times the time it took to reach max height
Force tings, in relation to motion, F=ma
m must be in kg
4 m/s is velocity, not force, for it to be counted in the force equation it must me measured in newtons like kv² N
F=−mg−kv
Valid assumptions to assume the population can be normally distrubuted
n>30
original population is normally distributed
sampling is random
sample values are independent of each other
Net Reproductive Rate Equation
expected number of female offspring produced per female per lifetime, taking survival into account.
where f1 = fecundity at stage 1
s1 = survival from stage 1 to 2
f2 = fecundity at stage 2
s2 = survival from stage 2 to 3

what is birth rate in leslie matrix
The average number of female offspring produced per female
Find the shortest distance from a point to a vector equation of a line
do AP
where A is the point, P is the vector line
do AP * d = 0,
solve for t
sub back in