Functional Groups - CH221 (Varner)

0.0(0)
studied byStudied by 0 people
full-widthCall with Kai
GameKnowt Play
learnLearn
examPractice Test
spaced repetitionSpaced Repetition
heart puzzleMatch
flashcardsFlashcards
Card Sorting

1/28

encourage image

There's no tags or description

Looks like no tags are added yet.

Study Analytics
Name
Mastery
Learn
Test
Matching
Spaced

No study sessions yet.

29 Terms

1
New cards

Alkane

knowt flashcard image
2
New cards

Alkene

knowt flashcard image
3
New cards

Alkyne

knowt flashcard image
4
New cards

Arene

knowt flashcard image
5
New cards

Alkyl Halide

knowt flashcard image
6
New cards

Vinyl Halide

knowt flashcard image
7
New cards

Aryl Halide

knowt flashcard image
8
New cards

Alcohol

knowt flashcard image
9
New cards

Ether

knowt flashcard image
10
New cards

Epoxide

knowt flashcard image
11
New cards

Peroxide

knowt flashcard image
12
New cards

Aldehyde

knowt flashcard image
13
New cards

Ketone

knowt flashcard image
14
New cards

Carboxylic Acid

knowt flashcard image
15
New cards

Acyl Halide

knowt flashcard image
16
New cards

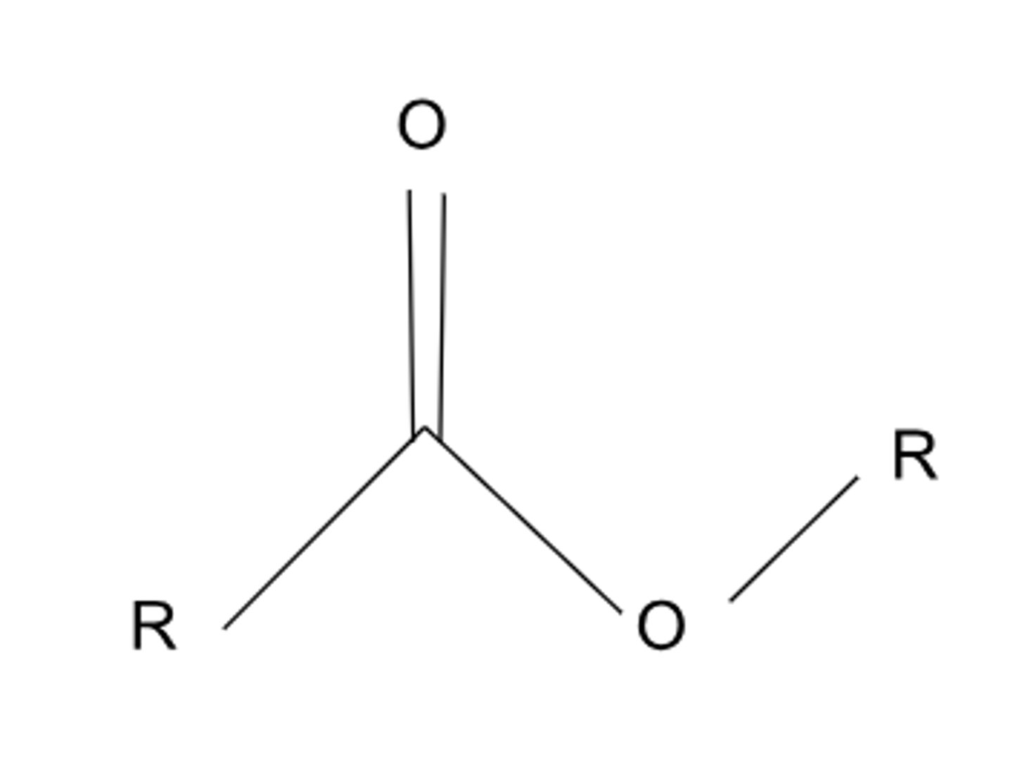
Ester

knowt flashcard image
17
New cards

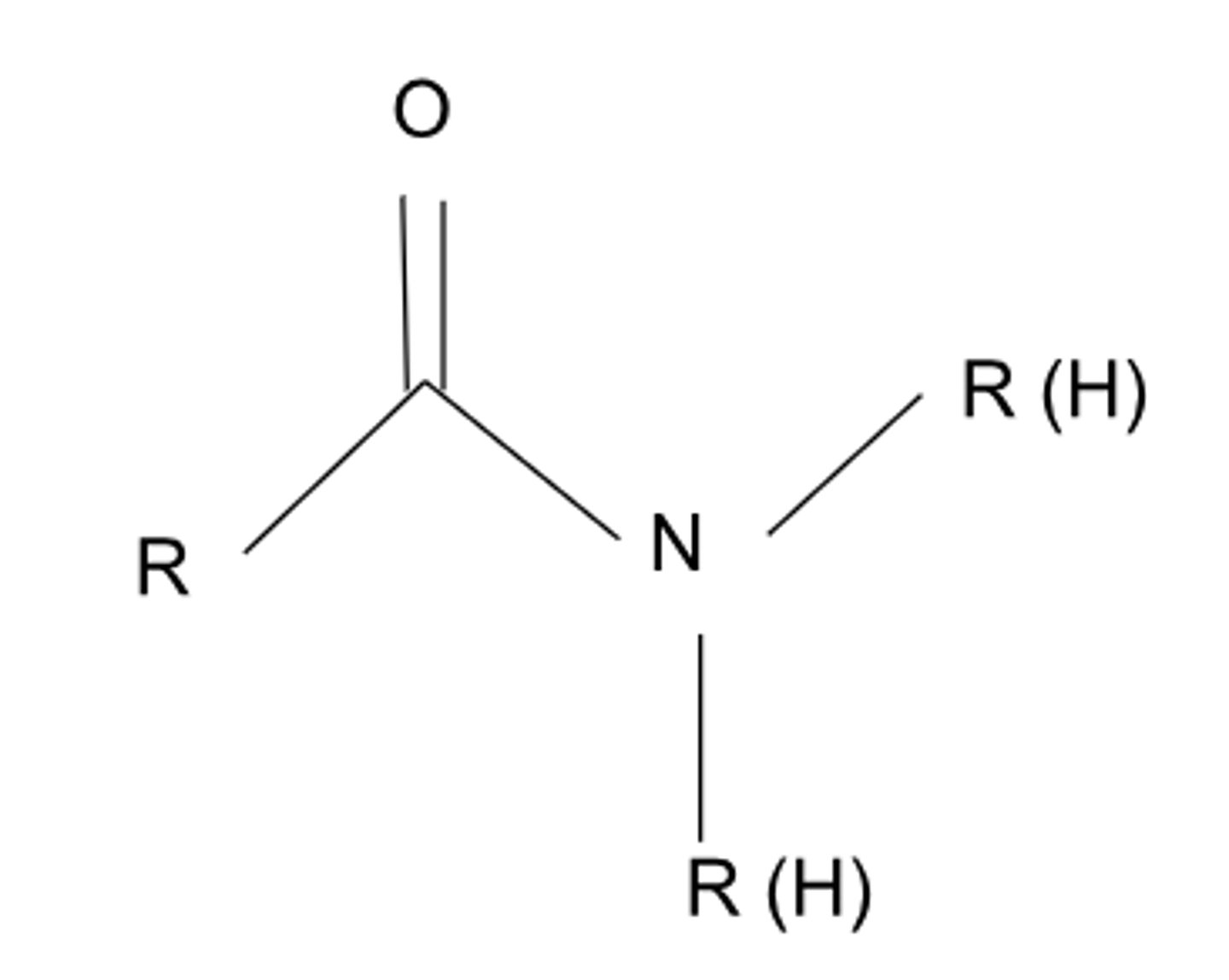
Amide

knowt flashcard image
18
New cards

Thiol

knowt flashcard image
19
New cards

Thioether

knowt flashcard image
20
New cards

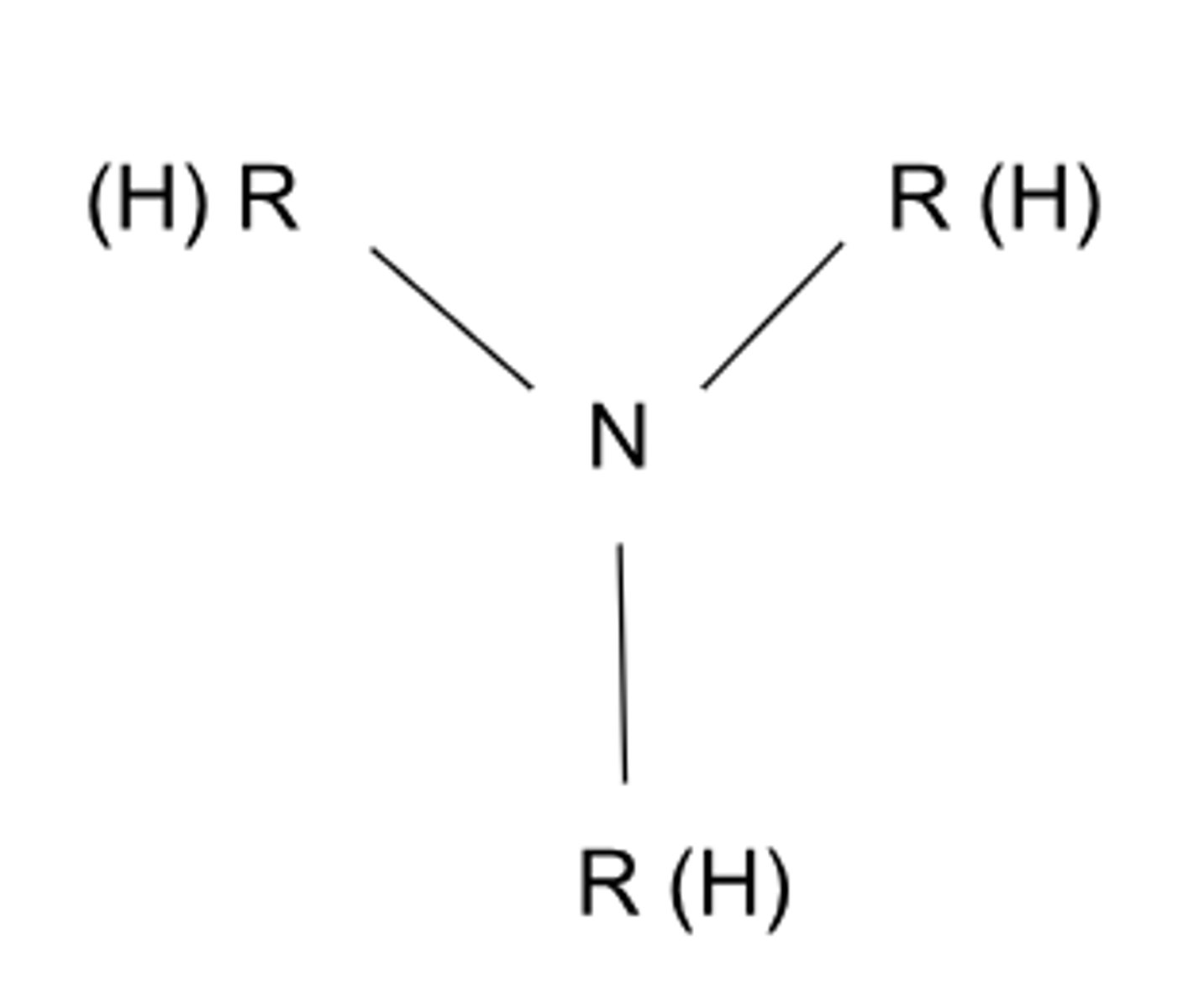
Amine

knowt flashcard image
21
New cards

Nitrile

knowt flashcard image
22
New cards

Methyl

knowt flashcard image
23
New cards

Ethyl

knowt flashcard image
24
New cards

Propyl

knowt flashcard image
25
New cards

Isopropyl

knowt flashcard image
26
New cards

Butyl

knowt flashcard image
27
New cards

Sec-Butyl

knowt flashcard image
28
New cards

Isobutyl

knowt flashcard image
29
New cards

Tert-Butyl

knowt flashcard image