molecular bio firestine

0.0(0)
studied byStudied by 0 people
0.0(0)
full-widthCall with Kai
learnLearn
examPractice Test
spaced repetitionSpaced Repetition
heart puzzleMatch
flashcardsFlashcards
GameKnowt Play
Card Sorting

1/84

encourage image

There's no tags or description

Looks like no tags are added yet.

Study Analytics
Name
Mastery
Learn
Test
Matching
Spaced
Call with Kai

No study sessions yet.

85 Terms

1
New cards

while proteins are composed of amino acids, nucleic acids are composed of __________

nucleotides

<p>nucleotides</p>
2
New cards

nucleotides are composed of what 3 elements

1. nitrogen containing base (purine or pyrimidine)

2. pentose sugar

3. phosphate group

<p>1. nitrogen containing base (purine or pyrimidine)</p><p>2. pentose sugar</p><p>3. phosphate group</p>
3
New cards

where does the phosphate group of a nucleotide attach

5' of pentose sugar

<p>5' of pentose sugar</p>
4
New cards

where does the N containing base of a nucleotide attach

1' of pentose sugar

<p>1' of pentose sugar</p>
5
New cards

which carbon of the pentose sugar varies among DNA and RNA

2' carbon; varies in what is attached

DNA= H

RNA= OH

<p>2' carbon; varies in what is attached</p><p>DNA= H</p><p>RNA= OH</p>
6
New cards

a nucleotide without a phosphate group is called

nucleoside

<p>nucleoside</p>
7
New cards

nitrogen containing bases of purines vs pyrimidines

Purines: adenine, guanine

Pyrimidines: cytosine, thymine (DNA), uracil (RNA)

<p>Purines: adenine, guanine</p><p>Pyrimidines: cytosine, thymine (DNA), uracil (RNA)</p>
8
New cards

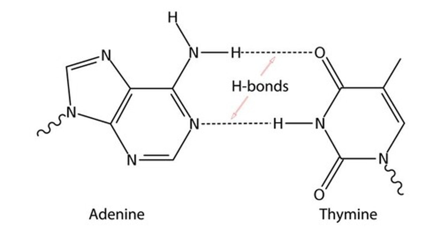
be able to draw adenine= thymine H bonds

knowt flashcard image
9
New cards

be able to draw cytosine= guanine H bonds

knowt flashcard image
10
New cards

2 amino acids make an amide/peptide bond, while 2 nucleotides form a _________ bond

phosphodiester

<p>phosphodiester</p>
11
New cards

a phosphodiester bond in nucleic acids joins which regions?

the hydroxyl group (3'-OH) on the sugar attacks the phosphate group of the next nucleotide

<p>the hydroxyl group (3'-OH) on the sugar attacks the phosphate group of the next nucleotide</p>
12
New cards

the ___' end has a free phosphate and the ___' end has a free hydroxyl group

5'= free phosphate

3'= free hydroxyl

<p>5'= free phosphate</p><p>3'= free hydroxyl</p>
13
New cards

ALL nucleic acids are listed in the __________ direction

5' to 3'

<p>5' to 3'</p>
14
New cards

what is the complementary strand of AGT

a. TCA

b. ACT

c. GAT

b. ACT because 5'ACT3' is the same as 3'TCA5' which complements AGT

*remember answer choices are listed 5->3 order

15
New cards

what is the single most important feature in determining the structure of nucleic acids

hydrogen bond capability

16
New cards

describe the DNA double helix structure

1. base pairs stacked on inside

2. hydrophilic phosphate backbone on outside

<p>1. base pairs stacked on inside</p><p>2. hydrophilic phosphate backbone on outside</p>
17
New cards

phosphate groups of DNA backbone are ______ charged, making them ________

negatively; hydrophilic

<p>negatively; hydrophilic</p>
18
New cards

which interactions inside the DNA double helix contribute to hydrophobic regions

aromatic ring stacking among base pairs

19
New cards

proteins mostly bind to the ___ groove to recognize a DNA sequence

major

<p>major</p>
20
New cards

What do major and minor grooves do?

allow proteins to recognize a certain DNA sequence (base pairs)

<p>allow proteins to recognize a certain DNA sequence (base pairs)</p>
21
New cards

each base pair is ____A apart up to down

3.4A

<p>3.4A</p>
22
New cards

how many base pairs in one helical turn

10.5bp

<p>10.5bp</p>
23
New cards

2 major forces used to stabilize DNA sequence

1. hydrogen bonds between base pairs

2. base pair stacking

24
New cards

3 types of cloning

1. organism ("carbon copy")

2. transgenic (ex:GMOs)

3. DNA (ex: recombinant)

25
New cards

DNA cloning methods were developed by

Berg, Boyer, Cohen

26
New cards

5 general steps of DNA cloning

1. cut DNA at precise locations

2. select DNA for self replication

3. join DNA together

4. move DNA into host

5. select hosts that have desired DNA

27
New cards

what cleaves DNA at a specific base sequence

type 2 restriction endonucleases

28
New cards

which enzyme joins 2 DNA molecules

DNA ligase

<p>DNA ligase</p>
29
New cards

which enzyme fills gaps in DNA via addition of nucleotides

DNA polymerase 1

30
New cards

which enzyme makes a DNA copy of an RNA molecule

reverse transcriptase

<p>reverse transcriptase</p>
31
New cards

of the 3 types of restriction endonucleases, which one is used the most?

type 2 restriction endonuclease

<p>type 2 restriction endonuclease</p>
32
New cards

which enzyme breaks phosphodiester bonds of DNA at exact locations

restriction endonucleases

33
New cards

type 2 restriction enzymes usually recognize _______bp DNA sequence that is ________

4-6bp; palindromic

34
New cards

what does it mean that restriction endonucleases only work on "palindromic" sequences

reads the same on both strands when read in the 5' to 3' direction.

ex :

5'-GAATTC-3'

3'-CTTAAG-5'

35
New cards

sticky ends vs blunt ends

Sticky Ends - Staggered ends on a DNA molecule with short, single-stranded overhangs. ** require same restriction endonuclease

Blunt Ends - A straight cut, down through the DNA that results in a flat pair of bases on the ends of the DNA.

<p>Sticky Ends - Staggered ends on a DNA molecule with short, single-stranded overhangs. ** require same restriction endonuclease</p><p>Blunt Ends - A straight cut, down through the DNA that results in a flat pair of bases on the ends of the DNA.</p>
36
New cards

t/f: you must cut 2 pieces of DNA with the SAME restriction endonuclease to join at same spot if STICKY ENDS are formed

true. if different enzymes are used then sticky ends wont match

37
New cards

t/f: you must use the SAME restriction endonuclease for an enzyme that forms BLUNT ends on DNA

false. blunt ends can be ligated to any other end, so the same restriction enzyme is not necessary (unlike sticky ends)

38
New cards

t/f: blunt ends are usually less efficient than sticky ends

true

39
New cards

___________ can be used to "fill in" sticky ends created by restriction enzymes to make a blunt end

DNA polymerase

40
New cards

DNA polymerase can only add on to

3' OH (needs primer)

41
New cards

DNA polymerase reads in the _________ direction and synthesizes in the __________ direction

reads: 3->5

synthesizes: 5->3

<p>reads: 3-&gt;5</p><p>synthesizes: 5-&gt;3</p>
42
New cards

what 2 things does DNA polymerase need in PCR

1. template strand

2. 2 primer strands (with free 3' OH)

<p>1. template strand</p><p>2. 2 primer strands (with free 3' OH)</p>
43
New cards

how does ligase form a phosphodiester bond

3'OH group links to 5' phosphate of DNA

<p>3'OH group links to 5' phosphate of DNA</p>
44
New cards

dna ligase forms a __________ bond

phosphodiester

45
New cards

which enzyme is used to make complementary DNA (cDNA)

reverse transcriptase

46
New cards

what does reverse transcriptase do

makes DNA from RNA

47
New cards

most plasmids/vectors are small and average _________ bp

5000

48
New cards

t/f: plasmids do not occur naturally and are synthesized in lab

false. they occur naturally in bacteria

49
New cards

what is present in all plasmids that allows for replication

ori= origin of replication

<p>ori= origin of replication</p>
50
New cards

introducing foreign DNA into a host is called

transformation

<p>transformation</p>
51
New cards

what allows for identification of organisms that have accepted the plasmid

selectable markers (ex: amp resistant genes)

52
New cards

a technique used to transport DNA into a host cell via high-voltage charge

electroporation

53
New cards

explain how selective markers are used to determine if an organism has accepted a plasmid

a plasmid has selective markers like amp or tetra resistance. if an organism picks up this plasmid, they will become resistant and grow in amp. those that did not will die

54
New cards

explain how selective markers are used to select for hosts that have the desired plasmid DNA sequence

1. foreign DNA is introduced in the midst of a selective marker (ex: amp)

2. if the host picked up the plasmid with the foreign DNA, then they will NOT be amp resistant since thats where the DNA is

3. if the host did not pick up the plasmid they will still be amp resistant

<p>1. foreign DNA is introduced in the midst of a selective marker (ex: amp)</p><p>2. if the host picked up the plasmid with the foreign DNA, then they will NOT be amp resistant since thats where the DNA is</p><p>3. if the host did not pick up the plasmid they will still be amp resistant</p>
55
New cards

separation of DNA in electrophoresis uses what 2 principles

1. electrical charge

2. size of DNA

<p>1. electrical charge</p><p>2. size of DNA</p>
56
New cards

DNA has a _______ charge, allowing it to travel to the _______ end in electrophoresis

DNA= negative

travels to positive end

57
New cards

_________ DNA would travel further in electrophoresis

small

<p>small</p>
58
New cards

restriction mapping

technique used to determine the locations of restriction enzyme cleavage sites in DNA by analyzing the sizes of resulting fragments after digestion and electrophoresis

<p>technique used to determine the locations of restriction enzyme cleavage sites in DNA by analyzing the sizes of resulting fragments after digestion and electrophoresis</p>
59
New cards

t/f: PCR can both amplify and change a DNA sequence

true

60
New cards

t/f: DNA polymerase is able to make a copy of the template strand

FALSE. it makes a copy of the complementary strand

61
New cards

t/f: DNA polymerase reads in the 3-> 5 direction and makes a copy in the 5-> 3 direction

true

62
New cards

what 4 things does PCR require

1. Taq polymerase

2. Template DNA strand

3. Primer (20-30bp)

4. deoxynucleotide triphosphates

<p>1. Taq polymerase</p><p>2. Template DNA strand</p><p>3. Primer (20-30bp)</p><p>4. deoxynucleotide triphosphates</p>
63
New cards

3 steps of PCR

1. Denaturation

2. Annealing

3. Extension

<p>1. Denaturation</p><p>2. Annealing</p><p>3. Extension</p>
64
New cards

describe what happens during denaturation and annealing in PCR

denaturation= hydrogen bonds btwn 2 dna strands are broken

annealing= formation of hydrogen bonds btwn 2 single strands of DNA

<p>denaturation= hydrogen bonds btwn 2 dna strands are broken</p><p>annealing= formation of hydrogen bonds btwn 2 single strands of DNA</p>
65
New cards

what does Tm represent in PCR

the temp at which half of DNA is annealed (double stranded) and half is denatured (single stranded)

66
New cards

the _________ the Tm, the stronger the 2 pieces of DNA bind to each other

higher

67
New cards

the ________ the Tm, the weaker the 2 pieces of DNA interact with each other

lower

68
New cards

what can contribute to a lower Tm?

1. mismatch between base pairs

2. AT bonds (bc have 2 H bonds while CG have 3)

69
New cards

would DNA with more AT base pairs have a higher or lower Tm than DNA with more CG base pairs

lower Tm bc A:T only has 2 hydrogen bonds= weaker= takes less heat to melt

70
New cards

t/f: in PCR, 2 primers are needed for both strands of DNA

true, 2 primers on 5' ends

71
New cards

why is Taq polymerase used in PCR

it is stable at high temperatures

<p>it is stable at high temperatures</p>
72
New cards

summarize the PCR process

1. denaturation: heat DNA to separate strands

2. add 2 primers (ssDNA) to 5' end (cool and anneal)

3. Taq polymerase reads 3->5 and makes a strand in the 5->3 direction

repeat

<p>1. denaturation: heat DNA to separate strands</p><p>2. add 2 primers (ssDNA) to 5' end (cool and anneal)</p><p>3. Taq polymerase reads 3-&gt;5 and makes a strand in the 5-&gt;3 direction</p><p>repeat</p>
73
New cards

after 20 cycles of PCR, how many copies of target DNA are there?

2^20 = 1 million

74
New cards

do the 2 primers that are added to PCR have the same sequence

no

75
New cards

what nucleotide is used in DNA sequencing

dideoxy nucleotides (ddNTP)

76
New cards

4 other uses of PCR besides amplification

1. introduce restriction enzyme sites into DNA

2. quantitate the amount of DNA

3. mutate DNA

4. screen material for desired gene

77
New cards

why are dideoxy nucleotides used in DNA sequencing

they lack a hydroxyl group at the 3' position, therefore they cannot bond to form nucleic acid (they

mark end)

78
New cards

what happens when ddNTP is added in place of a nucleotide in DNA sequencing

it acts as a cap and no further nucleotides are added (synthesis stops)

<p>it acts as a cap and no further nucleotides are added (synthesis stops)</p>
79
New cards

what will happen if some ddNTP is added along with all other nucleotides?

a full DNA strand is produced and a partial strand with the ddNTP cap is produced

<p>a full DNA strand is produced and a partial strand with the ddNTP cap is produced</p>
80
New cards

t/f: in dna sequencing, the strand that ddNTP caps is the template strand

false. that is complement. electrophoresis will give sequence of complementary strand (must be converted to get template)

81
New cards

in dna sequencing, electrophoresis will have _________ at the bottom

5' end (bc it is shortest, travels furthest)

<p>5' end (bc it is shortest, travels furthest)</p>
82
New cards

is the nucleotide sequence produced in electrophoresis the template or complement strand (in dna sequencing)

complement! it must be converted to get og template strand

<p>complement! it must be converted to get og template strand</p>
83
New cards

describe modern DNA sequencing

each ddNTP is color coded and run in electrophoresis

<p>each ddNTP is color coded and run in electrophoresis</p>
84
New cards

explain how to calculate melting temp of a DNA strand

A:T pair = 2 degrees celsius

G:C pair= 4 degrees celsius

count total pairs in sequence

85
New cards

ex: calculate the Tm of the following strand: ATGGC

AT pair= 2C

CG pair= 4C

ATGGC= 2+2+4+4+4= 16 degrees celsius