1/36
ECON1050
Name | Mastery | Learn | Test | Matching | Spaced | Call with Kai |
|---|
No analytics yet
Send a link to your students to track their progress
Collective Action Dilemma
Outcome where if one person changed their actions they’d be made worse off, but if a group changes their actions they’re all made better off
Packaging
Costs and benefits are internalized to the person making the choice
Equity
How surplus is distributed
Efficiency
Total amount of surplus
Price ceiling impacts on equity and efficiency
Makes society as a whole worse off (reduces efficiency), but may make consumers better off (ambiguous effect; depending on feelings about consumer vs producer surplus)
Pareto Improvement
A change that makes at least one person better off while harming no one
Pareto efficiency
No Pareto Improvements to be made
Partial Pareto Improvement
A change that makes at least one person better off, and for which the gains to the gainers are greater than the losses to the losers (increases total surplus)
Kaldor-Hicks Efficiency
An outcome is K-H Efficient if there are no PPIs that can be made
Utilitarian Social Welfare Function
= U1 + U2 + U3 + U4 + …
Rawlsian Social Welfare Function
= min{U1, U2, U3, U4, …}
The future value in n years of having $a now
$a x (1+r)n
Present value of having $a in n years
$a / (1+r)n
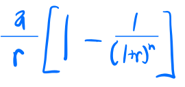
Present value of getting $a per year, every year, for the next n years, starting next year

Stated preference methods
Survey people and ask how they value things
Revealed preference methods
Looking at related goods
Hedonic pricing adjustment
Compare, e.g., prices of homes in areas with good air quality vs poor air quality
Travel cost method
Look at costs of traveling to environmental goods (e.g., national parks, protected wildlife areas, etc)
Externality
Results when the actions of one individual (or firm) have a direct, unintentional, and uncompensated impact on the well-being of other individuals or profits of other firms
Negative externality graph

Positive externality graph

Private good
Rival, excludable
Club good
Non-rival, excludable
Open-access resources
Rival, non-excludable
Public goods
Non-excludable, non-rival
Tragedy of the Commons
A situation where individuals, acting in their own self-interest and without regulation, deplete a shared, limited resource, leading to its degradation or disappearance to the detriment of the entire group
Scarcity rent
Rent owners of a non-renewable resource collect
Rent
Price collected in excess of MC
Hotelling Rule
The percentage increase in scarcity rent equals the market rate of return when nonrenewable resources are managed optimally
Wicksell Rule
Harvest when r = (Vt1 - Vt0) / Vt0 ,, (aka growth rate = discount rate)
Faustmann Rule
Harvest when r = (Wt1 - Wt0) / (Wt0 + S - D) ,, W(t) = (p-c)V(t) ,, S = site value ,, D = cost of replanting
When to harvest if there are non-timber benefits
Harvest when r = (Wt1 - Wt0 + Ht1) / (Wt0 + S - D) ,, H(t) = value over time period t-1 to t of trees staying up
Dynamical system
Growth depends on how many individuals there are
Change in fish from time t to t+1
F(xt) = rxt - (r/k)xt2
Maximum sustainable yield
Occurs at population k/2
Stable fixed point
A fixed point to which some points are attracted (ex: k, 0 when x<c ;; k when x>c)
Unstable fixed point
A fixed point from which some points are repulsed (ex: c)