1/24
Looks like no tags are added yet.
Name | Mastery | Learn | Test | Matching | Spaced | Call with Kai |
|---|
No analytics yet
Send a link to your students to track their progress
FAs are stored in adipose tissue as…
triacylglycerol (TAG) in which FAs are linked to glycerol via ester linkages
In the 1st stage of FAs degradation, why does PKA phosphorylate perilipin and HS lipase?
Activates adipocyte triacylglyceride lipase (ATGL) to initiate lipid breakdown—releasing the first FA (TAG →DAG); HS lipase then releases the second FA (DAG→MAG)
In the 1st stage of FA breakdown, what does MAG lipase do?
Releases the third FA (now free FA & glycerol)
In the 1st stage of FA breakdown, how are FAs delivered through the blood despite being insoluble in aqueous solution?
They bind to blood protein Albumin for delivery to tissues needing fuel

In the 2nd stage of FA breakdown, what happens to FAs when in the cyctoplasm?
They’re activated by attachment to CoA via acyl CoA synthetase (= 2 ATP consumed), a 2-step process with an acyl adenylate intermediate

What’s the 1st step of FA linking to CoA: stage 2?
Fatty acid reacts with ATP to form acyl adenylate, & other 2 phosphoryl groups of ATP released as pyrophosphate—hydrolysis of pyrophosphate by pyrophosphatase causes this to be irreversible

What’s the 2nd step of FA linking to CoA: stage 2?
Sulfhydryl group of CoA attacks the acyl adenylate to form acyl CoA
& AMP

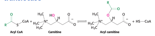
Once linked to CoA, FA is then transferred to carnitine via reaction catalyzed by…
carnitine acyltransferase I producing acyl carnitine which is transported into mitochondrial matrix via a translocase
In the mito, what transfers the FA to CoA to prepare it for degradation
Carnitine acyltransferase II
In Stage 3: degradation of FA, define the 1st step
Oxidation of the β carbon, catalyzed by acyl CoA dehydrogenase generating trans-Δ2-enoyl CoA & FADH2
In Stage 3: degradation of FA, define the 2nd step
Hydration of trans-Δ2-enoyl CoA by enoyl CoA hydratase yields L-3-
hydroxyacyl CoA
In Stage 3: degradation of FA, define the 3rd step
Oxidation of L-3-hydroxyacyl CoA by L-3-hydroxyacyl CoA dehydrogenase producing 3-ketoacyl CoA & NADH
In Stage 3: degradation of FA, define the 4th (final) step?
Thiolysis (cleavage) of the 3-ketoacyl CoA by β-ketothiolase forms
acetyl CoA & fatty acid chain is now 2-C shorter
How many C units are removed from carboxyl end of FA for each degradative cycle (Stage 3’s repeating step)?
2C units

What is this rxn defining?
Reaction for one round of β oxidation

What is this rxn defining?
Complete rxn for C16 palmitoyl CoA

Which step/stage does this reaction represent?
Step 1 + 2 of Stage 1

Which step/stage does this reaction represent?
Stage 2

Which step/stage does this reaction represent?
Step 1 of Stage 3

Which step/stage does this reaction represent?
Step 2 of Stage 3

Which step/stage does this reaction represent?
Step 3 of Stage 3

Which step/stage does this reaction represent?
Step 4 of Stage 3
What required for the oxidation of unsaturated FAs?
An isomerase and reductase

When a monounsaturated is introduced for FAs degradation, what’s needed?
Cis-Δ3-enoyl CoA isomerase: it converts the double bond into trans-Δ2- enoyl CoA, a normal substrate for β oxidation
When polyunsaturated fatty acids are degraded by β oxidation,
cis-Δ3-enoyl CoA isomerase is also required, but a 2,4-Dienoyl CoA
is generated and cannot be processed by the normal
enzymes, what’s also needed?
2,4-dienoyl CoA reductase: it converts 2,4-Dienoyl CoA → trans-Δ3-enoyl CoA which the isomerase converts this product to trans-Δ2-enoyl CoA, a normal substrate