1/8
Looks like no tags are added yet.
Name | Mastery | Learn | Test | Matching | Spaced | Call with Kai |
|---|
No analytics yet
Send a link to your students to track their progress
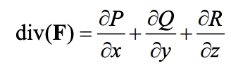
Div F =
scalar

curl(F)
you write in P, Q, R
ans is vector


Green’s theorem: deals with line ∫ of simple closed curves over non-conservative vector fields in counterclockwise direction
if over conservative vector field…
if in clockwise direction
W = 0
negative work/line integral

How to use green’s theorem
draw ____
label __ & __ in the line integral expression (components of vector field F(x,y))
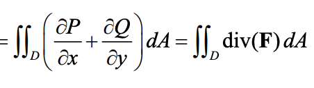
write out double integral ∫ ∫R ∂Q/∂X-∂P/∂y dA and fill in _____
If you get 0 for ∂Q/∂X-∂P/∂y, then the vector field is ____ and the work done = __
Find the ___ and finish writing the double integral
integrate
curve/region
P, Q
∂Q/∂X-∂P/∂y
conservative, 0
region
area of ellipse
abπ
Area of region enclosed by curve

Using green’s theorem, if you get ∫ ∫R 1 dA from step 2, the line ∫ =
area of region
When to use each line integral/work equation
If the integral is of a scalar density (like mass):
If the integral is over a nonconservative vector field:
If the integral is over a conservative vector field:
If the integral is of a simple closed curve over nonconservative vector field




normal form of Green's theorem: net flux of vector field F across a simple closed curve C=
